概述
光伏系统的收益不仅仅需要考虑前期投资以及当前的政策,同时也要关注光伏系统在全寿命周期的出力情况以及政策的变化,此次分享从五个方面:政策、质量、安全、成本和能效介绍影响分布式光伏项目收益的因数。
正文
1、如何确认项目的收入

图1 项目收入计算
并网光伏项目的收益由电价与发电量决定,电价由政策决定,发电量由电站的质量、安全和能效决定。
2、详细分析
此次分享将从以下因素详细分享影响收益的因数:

电价政策对收益的影响:
分布式光伏电站有两种收益模式:‘自发自用,余电上网模式’和‘全部上网模式’,按照光伏电站发出电力使用的不同,可以按照‘自发自用’收益和‘余电上网’收益分段计算,如下图所示:

图2 分段收益计算图
公式表述如下:

按照苏州目前政策和电网电价举例,1kV以下商业平段电价为0.8439
元/kWh和脱硫煤标杆电价0.378元/kWh计算如下:

图3 分段计算收益-苏州
全部上网模式的电价在可能会有所调整,具体政策已经成型还未下发,按照2016年政策如下图所示:

图4 全额上网各类地区分布图
根据现有政策,对比两种模式收益情况如下所示:

图5 两种情况收益对比
光伏补贴下降已经势在必行,两种收益各自存在一些风险,如以下表格所示:

设计方案对发电量的影响
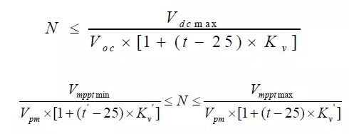
组件串联数量
经过计算和现场调查,有以下结论:
(1)在《光伏发电站设计规范》有计算方法:

(2)考虑组件的开路电压和MPPT电压,以及逆变器的MPPT电压范围以及最大效率电压选择串联的数量;
(3)以苏州举例单排23块,双排22块在三相系统中的应用是比较优秀的配置;
(4)一般情况下,建议在范围内可以尽可能提高串联组件的数量,可以减少线损,提高系统效率,增加的效率约在0.16;
合理的高度角、方位角
经过计算和现场调查,有以下结论:
(1)屋顶推荐正朝南,很多项目中比较难以实现;
(2)方位角对发电量的影响:

图6 方位角对发电量的影响
安装倾角对安装容量的影响
经过计算和现场调查,有以下结论:
(1)高纬度地区最佳倾角高,以乌鲁木齐示例,最佳倾角和平铺发电量之间可以有18%的差距;
(2)不同地区安装倾角对发电量的影响图:

图7 安装倾角对发电量的影响
(3)在考虑最佳倾角时,需要综合考虑珍贵屋顶资源、组件间距、以及安装方法;
光伏组件的排布方式
横铺和竖铺的组件在遮挡情形下受到的影响不同,一般情形下,混凝土项目推荐横铺安装,由以下对比:

合理的选址
(1)在选址过程中,一定要考虑周边及未来可能带来的遮挡的影响;
(2)项目的选址要远离腐蚀和灰尘源头;
留有合理的检修通道
在没有留有检修通道的项目中,在清理过程中会存在踩踏支架导致组件隐裂问题;
产品质量对发电量的影响
光伏产品的质量直接影响系统运行稳定性,根据TUV-莱茵的数据统计:组件、逆变器、配电设备、支架等对电站影响统计如下:

图8 光伏电站故障因为统计
其中组件工艺差别色彩从而引起的功率不匹配,背板开裂,起泡,鼓包的问题对电站影响很大,同时运行过程中的光致衰减,老化衰减和电势能诱导衰减对电站发电量也有较大影响同时获得广泛关注。而对于逆变器,原件的选择特别是电容和IGBT的模块对逆变器寿命影响很大,需要选择主流厂家原件选择优异的厂家。
运维水平对发电量的影响
组件清洗:
分布式项目中没有专业的清洗团队,导致组件灰尘积累特别严重。


图9 组件清理前后效率对比
组件遮挡

图10 潜在的光伏组件遮挡
和太阳能热水器不同,组件不能用来晒红薯。
保障电站安全应注意事项
荷载计算,可以参考固德威光伏社区的文章(光伏系统常见问题—屋顶荷载计算)
(1)不是所有的屋顶都能安装光伏组件,需要考虑恒定荷载和活荷载。
(2)生锈的屋顶不能直接安装光伏组件;
(3)彩钢瓦破损的屋顶需要考虑防水和电站安全;
(4)彩钢瓦不能架高支架;
配重、安装质量达到抗风要求
在风大的情况下可能会导致板子被吹翻

图11 吹翻的光伏板
重视防雷接地
在一些电站项目中确实存在因为没有接地措施而导致的家庭配电箱被雷击,家庭设备受损,同时在部分项目中接地电站大于500欧姆,接地效果无法达到要求。

图12 非正规接地
结尾
光伏电站的发电量不仅仅需要看重系统的发电效率,同样要关注系统的稳定性。在前期设计过程中,需要考虑好组件的安装角度和方向角、组件排布方式以及单串组件的数量,同时要考虑安装过程中的接地的有效性,以及运维过程中的组件遮挡清洗等因素。
FR:新纬智能电力有限公司高级工程师 王淑娟
太阳能学院记录整理要点
索比光伏网 https://news.solarbe.com/201701/11/107579.html

