
近日,来自印度理工学院、菲利普斯-马尔堡大学等机构的国际研究团队在《Advanced Functional Materials》上发表题为“Trion-Engineered Multimodal Photo-Transistors in Two-Dimensional Lateral Heterostructures”的突破性研究。作者利用化学气相沉积法制备的双层MoSe₂-WSe₂-MoSe₂横向异质结,首次在该结构中实现了通过光子能量和栅极电压对光导行为进行动态、可逆的精准调控。该工作揭示了三粒子在负光电导现象中的关键作用,为开发新型光电器件和量子技术提供了全新平台。
技术亮点:
Ø三重调控自由度:研究团队发现,通过简单调节入射激光波长、栅极电压和漏源电压,可以精准地将器件的光电响应在正光电导与负光电导之间进行切换。这是首次在二维横向异质结中实现如此灵活的光电调控。
Ø三粒子的关键角色:通过低温光致发光光谱,团队明确观测到MoSe₂域中存在三粒子,而WSe₂域中存在本征陷阱态。理论模型表明,三粒子的形成是导致负光电导的关键:高有效质量的三粒子迁移率低,其形成减少了体系中自由载流子的浓度,从而导致电流下降。
Ø颠覆性的器件几何结构:采用n-p-n横向结构,其光电响应特性与单一n-p结完全相反。这种几何结构提供了内置电势不对称性,有利于激子的自发扩散和操控,为功能设计增加了新的自由度。
图文分析:

图1a-c展示了高质量、尖锐界面的横向异质结的制备成果。拉曼 mapping 和原子分辨率STEM图像证实了材料的单晶性和界面质量。图1d的PL光谱明确了各区域的激子共振波长。e和f图首先在一个简单的n-p单结器件中展示了基本的光电响应:高能量光子(710 nm)产生正光电导,而低能量光子(830 nm)产生负光电导。这为后续复杂的n-p-n结构现象提供了对比基准。g图详细绘制本研究所用的n-p-n三终端光晶体管器件的结构示意图和光学照片,明确激光仅照射中间的WSe₂区域,而两端的MoSe₂区域连接源漏电极的实验构型。h图展示了器件在暗场条件下的常规输出特性,表明器件具有良好的栅极调控能力。插图的能带示意图说明了栅压对费米能级的调节作用。i图揭示在n-p-n构型中,光电响应与n-p结相反。830 nm光照下表现为PPC,而710 nm光照下表现为NPC。这一“反转”现象凸显了器件几何结构对载流子动力学的决定性影响。j图以三维图表的形式,综合展示了光响应率随入射波长和漏源电压的动态变化。中间的阴影过渡区形象地刻画了PPC与NPC之间的转换边界,预示着其可调谐性。

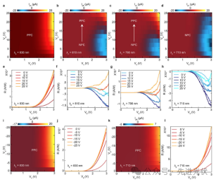
图2通过一系列二维等高线图,详尽刻画了光电响应如何受波长(λp)、栅压(Vg)和漏源电压(Vd)这三个关键参数的控制。a-d 图:分别对应830 nm, 810 nm, 790 nm 和710 nm波长下,光电流随Vd和Vg变化的二维分布。颜色从暖色(正,PPC)到冷色(负,NPC)的渐变,清晰展示了随着激发光子能量的增加(波长从830 nm减小到710 nm),器件的主导响应从PPC区域向NPC区域演变的过程。特别是在790 nm和810 nm时,图中同时存在PPC和NPC区域,表明这是一个由Vg和Vd控制的过渡区间。e-h 图进一步给出了对应波长下的响应率曲线,量化了光电转换效率。i-l 图:补充说明了在负栅压条件下,器件在不同波长下均表现为PPC,这与正栅压下的复杂行为形成鲜明对比,强调了栅极极性在调控载流子类型和浓度方面的重要性,为后续的机理解释提供了实验证据。

图3 低温光学特性揭示激子与陷阱态。a图4K低温PL光谱是揭示微观机理的关键。清晰地显示在MoSe₂区域,存在明确的激子(X⁰)和三粒子(X⁻)发射峰,峰位间隔约23 meV,这直接证明了三粒子的存在。在WSe₂区域,则观察到强烈的、尖锐的缺陷态或陷阱态相关发射。这些本征的光学特性为解释器件行为提供了物质基础:MoSe₂是n型,易于提供电子形成三粒子;WSe₂是p型,且富含陷阱态。b-d图通过功率依赖的PL光谱表明,在MoSe₂中,三粒子的峰强随激发功率增加而增强,证明其三粒子形成能力。e-f图展示了WSe₂区域PL随温度的变化,其发射峰的红移行为有助于理解陷阱态能级分布。

图4用简洁的能带示意图分三种情况解释了不同激发波长下的物理过程:a) λp > 830 nm(低能量激发):光子能量不足以激发本征激子,但可以激发WSe₂中低于导带的陷阱态载流子,使其跃迁到导带参与导电,导致PPC。b) 790 nm < λp < 830 nm(过渡区):光子能量足以产生激子,同时陷阱态也被激发。此时,陷阱态载流子贡献的PPC和激子扩散后可能形成三粒子所贡献的NPC相互竞争,导致光电响应可调。c) λp < 790 nm(高能量激发):在WSe₂中产生大量激子,这些激子扩散到界面,被n型MoSe₂中的自由电子捕获,形成三粒子。三粒子有效质量大、迁移率低,减少了自由载流子浓度,从而导致NPC。

图5对器件的实际应用性能进行了评估。a图清晰地对比了在正负栅压下,响应率随波长的变化关系,再次强调了栅极极性对响应符号的调控作用。b图计算了器件的比探测率(D*),最高值达到1.92 × 10¹⁰ Jones,证明了其良好的光电探测能力。c图的功率依赖关系显示,710 nm激发下光电流随功率线性增长,符合激子/三粒子生成机制;而830 nm激发下出现饱和,符合陷阱态填充饱和的机制。d图展示了光增益与栅压的关系。

图6通过微观理论模型为实验现象提供了坚实的理论支撑。a图概括了理论模型的出发点:光激发导致三粒子形成,减少自由载流子,降低电流。b图基于Saha方程的理论计算表明,自由载流子比例随总载流子密度和栅压(掺杂浓度)变化,预测了三粒子形成的条件。c图的理论模拟结果(710 nm激发)与实验观测高度一致,成功复现了NPC现象及其饱和行为。d图的理论模拟(考虑30%的去陷阱化效应)同样复现了在高于共振激发波长下的NPC-to-PPC转变,与实验数据(图2c)吻合,证明了理论模型的普适性和准确性。
结论展望
本工作突破传统垂直堆叠异质结的局限,利用化学气相沉积法制备了高质量的双层MoSe₂-WSe₂-MoSe₂横向异质结,并在此基础上制造出多功能光晶体管。该器件首次实现了通过入射光子能量与栅极电压协同调控,使光电响应在正光电导(PPC)与负光电导(NPC)之间实现动态、可逆的切换。研究结合低温光谱学表征与微观理论模型,清晰揭示了三粒子与材料本征陷阱态在光电转换中的竞争机制,从实验和理论层面证实了调控机理。这项工作不仅揭示了二维材料中激子复合物的新奇光电行为,更展示了横向异质结几何结构在实现域选择性载流子操控方面的独特优势,为开发下一代可重构光电子器件、神经形态计算和量子信息技术提供了全新的设计思路与材料平台。
文献来源
Baisali Kundu, Poulomi Chakrabarty, Avijit Dhara, et al. Trion-Engineered Multimodal Photo-Transistors in Two-Dimensional Lateral Heterostructures. Advanced Functional Materials (2025).
https://doi.org/10.1002/adfm.202517486
仅用于学术分享,如有侵权,请联系删除。
索比光伏网 https://news.solarbe.com/202512/10/50014305.html

