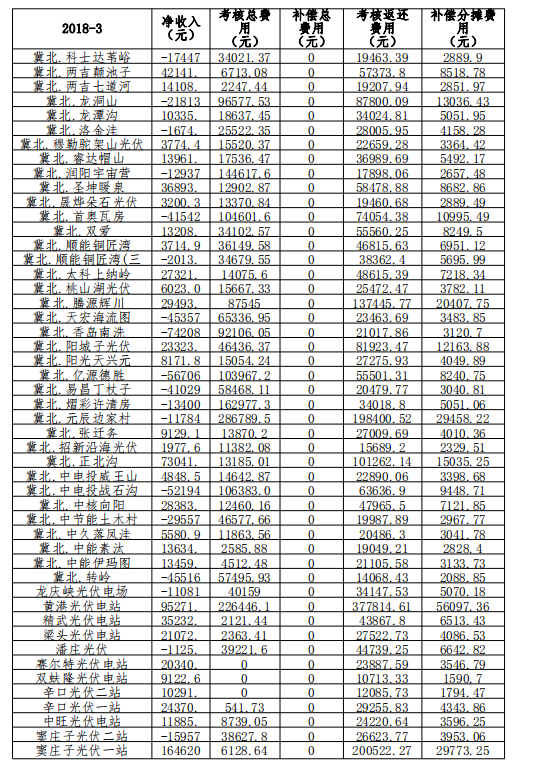
2018年3月份京津唐电网光伏发电站并网运行管理运行结算汇总表。


索比光伏网 https://news.solarbe.com/201805/02/286826.html
2018年3月份京津唐电网光伏发电站并网运行管理运行结算汇总表。


索比光伏网 https://news.solarbe.com/201805/02/286826.html
本站标注来源为“索比光伏网”、“碳索光伏"、"索比咨询”的内容,均属www.solarbe.com合法享有版权或已获授权的内容。未经书面许可,任何单位或个人不得以转载、复制、传播等方式使用。
经授权使用者,请严格在授权范围内使用,并在显著位置标注来源,未经允许不得修改内容。违规者将依据《著作权法》追究法律责任,本站保留进一步追偿权利。谢谢支持与配合!
光伏头条获悉,7月10日,海南省发展和改革委员会就《关于海南省深化新能源上网电价市场化改革的实施方案(征求意见稿)》公开征求意见。
7月10日,海南省发改委发布关于公开征求《关于海南省深化新能源上网电价市场化改革的实施方案(征求意见稿)》意见的通知
在“531新政”重塑光伏产业格局、部分省份区划为“光伏红区”的背景下,探索光储融合新路径成为破局关键。固德威于江西德安打造的风光储充一体化项目成功并网运行,正是这局势下的全新之路!该项目不仅是国内首个专为重卡充电打造的风光储充一体化标杆,更在“新政后时代”为工业园区智慧零碳供用电树立了典范。通过深度融合固德威核心技术与创新策略,项目实现了从“阳光”到“车轮”的全链路高效绿色赋能,其背后,正是固德威“源网荷储智”能源一体化解决方案的生动实践与成功落地。
近日,国家发改委、国家能源局联合出台《关于有序推动绿电直连发展有关事项的通知》(发改能源〔2025〕650号,以下简称“650号文”)。650号文试图在电网的“主干道”供电之外,给与市场主体一个新的绿电采购选项:以用户为中心,开辟一条点对点的“专属通道”,允许新能源电站通过专用线路,直接供给特定的用电企业,使企业能够拥有一套“量身定制”的绿电供应方案。
贵州六盘水钟山区能源局发布《关于自然人、非自然人分布式光伏发电项目开发建设有关工作的提示》,通知称为有序推进自然人、非自然人户用分布式光伏开发建设,维护项目施工、安装、屋顶租赁等环节涉及人员合法权益,就开发建设有关工作的做出提示。
7月1日,浙江宁海县发展和改革局发布关于县政协十一届四次会议第69号提案的复函。该复函显示,截至到2025年4月底,宁海县光伏累计装机容量87.41万千瓦,本年累计装机容量13.71万千瓦。
近日,山西省能源局、国家能源局、山西监管办公室正式下发《分布式光伏发电开发建设管理实施细则(试行)》的通知,于2025年8月1日起施行,有效期两年。文件指出,分布式光伏发电上网模式包括全额上网、全部自发自用、自发自用余电上网三种。
据索比光伏梳理统计,2025年上半年国家及地方共出台259条光伏政策。其中第一季度135条,第二季度124条。以430和531新政为重要标志,分布式光伏管理精细化与电价市场化改革同步推进,“抢装潮”引发的产业链价格波动
在能源转型的浪潮中,科技巨头们正不断掀起创新的浪潮。6月11日,上海SNEC展期间,华为数字能源发布了最新的智能光伏战略以及全球首个构网型光储解决方案——FusionSolar9.0智能组串式构网型光储解决方案。同时,华为数字能源联合13家企业和组织发起“全面构网倡议”,这一举措被业内视为吹响了加速进入全面构网新时代的冲锋号。
近日,内蒙古能源局印发了《关于进一步优化源网荷储一体化项目申报要求的通知》,该通知调整了多项源网荷储一体化项目申报过程中的要求,包括:项目投资主体要求、项目建设规模要求、消纳和调峰要求、审批流程。文件指出,取消同一法人限制,调整为项目配套电源、内部直连线路、负荷、储能可以是同一投资主体,也可以是不同投资主体。取消储能配置规模要求,调整为按需配置储能规模要求项目配套新能源利用率不低于90%新能源所发电量占总用电量的比例不低于35%。



