索比光伏网讯:为了进一步降低多晶硅太阳电池的成本,研究了硅片厚度对多晶硅太阳电池的短路电流密度、开路电压和效率的影响。可以看出,在保证多晶硅太阳电池性能不变或者提高的前提下,硅片厚度可以减小到200um,如果继续减小厚度,电池的性能将会下降。
1、提高太阳电池的光电转换效率和降低成本是太阳电池研究的主要方向,薄膜太阳电池能够大幅度降低材料的用量,是降低太阳电池成本最有效的手段。多晶硅太阳能电池在世界太阳能电池市场中占一半左右的份额。所以,在保证太阳电池性能不变甚至提高的前提下,减少多晶硅太阳电池硅片厚度对降低光伏能源的成本具有重要意义。
2、硅片厚度对短路电流Jsc的影响
当使用更薄的多晶硅片时,要面临的一个问题是表面的复合与基区的材料质量。已经有实验证实,在使用SiNx作为前表面钝化层和Al作为背面场(BSF)时,当多晶硅片厚度大于200um,Jsc与硅片厚度是相互独立的关系,只有硅片厚度小于200um,Jsc才随着厚度的减少而减少。BSF能阻碍光生少子向背表面运动,降低背表面复合,有利于p/n结对载流子的收集。厚度低时,基体对入射光的吸收减少,此时BSF对太阳电池的短路电流密度的影响就更明显。SiNx作为前表面钝化层可以降低表面复合并且提高基区材料的质量。但是,当硅片厚度很低时,很低低能量光子将穿过硅片而不能被吸收,Jsc会出现降低的趋势。
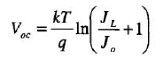
3、硅片厚度对开路电压Voc的影响
在多晶硅太阳电池的背面使用AL-BSF时,如果硅片厚度大于200um,开路电压Voc与硅片厚度就是独立的关系。Voc是温度T、光生电力Jl(理想情况下它等于Jsc)还有还有饱和电流Jo的函数:

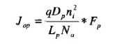
一个硅太阳电池的饱和电流Jo取决于有效的复合速度。基区对于饱和电流的作用可以表示为:


如果硅片基区厚度Wp与基区扩散长度Lp有的关系为:Wp>>Lp时,那么

Fp变成常数1,硅片厚度对Voc的影响就被抵消了,所以,硅片比较厚时,Voc与硅片厚度相互独立。
4、硅片厚度效率的影响
在硅片厚度大于200um时,使用AL-BSF的多晶硅太阳电池的效率是与硅片厚度相互独立的。对于厚度小于200um的硅片,高基区质量的太阳电池效率会随着厚度减小而减少,对于低基区质量的太阳电池,效率仍然是常数。
5、结论
在标准的工业出来条步骤下,200um的硅片厚度是多晶硅太阳电池性能减少的起始点。当多晶硅片厚度小于200um时,多晶硅太阳电池的主要电学参数开始减少。在降低硅片厚度以减少光伏成本时,要使用有效的表面钝化方法来减少表面复合与提高基区质量。(作者王涛)
索比光伏网 https://news.solarbe.com/201204/25/256802.html

