索比光伏网讯:关键字:光伏照明 能量 管理照明
1 引言
目前,国内外在照明title=“光伏照明”光伏照明领域的研究仍局限于组件配合和状态控制等基本功能实现,而对光伏照明系统中的MPPT算法和蓄电池能量管理控制研究不够深入;另外,现有光伏照明系统大都采用节能灯等作为光源,照度不能满足交通照明等场合需求。因此,基于高强度气体放电灯的光伏路灯照明系统具有广阔的应用前景。
在独立光伏照明系统中,主要的问题是如何提高太阳能电池工作效率,以及如何尽可能地延长蓄电池寿命。针对以上问题,本文提出了一种用于独立光伏照明系统中的能量管理策略。该能量管理策略结合MPPT算法和分段式的蓄电池充电方法,实现了独立光伏照明系统的优化控制,在提高系统效率的同时,可以有效延长蓄电池的工作年限。在此独立光伏照明系统中,为了配合高压气体放电灯的稳定工作,设置了一个直流升压电路和一个高频逆变电路。配合镇流、启辉电路,250W高压气体放电灯能在高频电源下稳定工作,为照明提供了稳定、高转换效率的电光源,可以满足道路交通照明等的要求。
2 独立光伏照明系统的组成
与其它光伏照明系统相比,此系统一个主要的特点是采用250W高压钠灯作为光源。高压钠灯是第3代绿色照明节能光源,它具有发光效率高、耗电少、寿命长以及透雾能力强等优点,是太阳能照明系统实现功能性照明的理想光源。系统还包括300pW太阳能电池,3块串联的100Ah全封闭免维护铅酸蓄电池和系统控制器。控制器由充电控制和高压钠灯供电电路组成。如图1所示。

太阳能电池是光伏照明系统的输入电源,为整个系统提供照明和控制所需电能。在白天光照条件下,太阳能电池将所接收的光能转换为电能,经充电电路对蓄电池充电;天黑后,太阳能电池停止工作,输出端开路,蓄电池将储存的化学能转换成电能输出到照明负载。智能控制器的电源由蓄电池供给。系统各部分容量的选取配合,需要综合考虑成本、效率和可靠性。太阳能电池是整个系统中最昂贵的部分,它的容量选取影响着整个系统的成本。
相比较而言,蓄电池价格较为低廉,因此可以选取较大容量的蓄电池,尽可能充分利用太阳能电池所发出的功率。另外,在与照明负载配合时,应该考虑到连续阴天的情况,对系统容量留出一定裕度。
3 太阳能最大功率点跟踪
在太阳能发电应用领域中尽可能地提高太阳能电池板的输出功率一直是研究的热点。太阳能电池输出特性为非线性,而且受光照强度和环境温度影响。如图2所示,太阳能电池在任何时刻都存在一个最大功率输出的工作点,而且随着光照强度和温度的变化而变化。为了能够让太阳能电池在供电系统中充分发挥它的光电转换能力,就需要实时控制太阳能电池的工作点以获得最大的功率输出。
快充阶段,由于蓄电池的电流接受能力大于太阳能电池经充电电路后的输出能力。因此,可以只考虑如何实现太阳能电池的最大功率输出。在独立光伏照明系统中实现了太阳能电池最大功率点的跟踪。
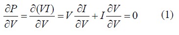
先对太阳能电池的输出电压V和电流I进行连续的采样,并将每次采样的一组电压电流数据相乘折合成功率值P,然后减掉上一次采样得到的功率值,即为功率差分值。当功率达到最大值时满足式:

令DI=VI,DV=-IV,则当DV=DI时,即可近似认为达到最大功率点,这样就构成了最大功率点跟踪的一阶差分算法。
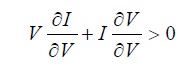
如果:

说明太阳能电池阵列输出功率为电压增加方向;
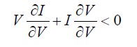
如果:

说明太阳能电池阵列输出功率为电压减少的方向。

4 蓄电池充电策略
4.1 概述
蓄电池的容量和寿命是蓄电池的重要参数,它们受充电方法影响很大。在独立光伏照明系统中,由于太阳能电池本身的非线性以及其输出受到光强和温度的影响,传统充电方法如恒流充电法不再适用。系统中不再仅仅关心蓄电池的充电速度;取而代之的是如何在充电的过程中既能最大限度地利用太阳能电池,又能合理地实现充电的最小损耗和蓄电池的最长寿命。在这套光伏系统中采用的策略就是以太阳能电池电压、电流和蓄电池电压、电流、容量同时作为变量和对象的综合控制策略。
蓄电池的使用,归根结底是如何利用蓄电池的充放电特性。有效、科学地使用蓄电池,对提高蓄电池的使用效率、延长蓄电池的使用寿命,起着非常关键的作用。
4.2 蓄电池分段式充电方法
对于一个蓄电池而言,选择适当的充电方法,不只可以延长蓄电池的使用寿命,而且还可以提高充电效率。这就需要准确判断蓄电池的充电状态从而选取充电电路的工作状态。控制器使用的充电电路采取了快充、过充、浮充3个阶段的充电方法:
(1) 快充阶段:在快充阶段,充电电路的输出等效于电流源。电流源的输出电流根据蓄电池的充电状态确定,为蓄电池最大可接受电流IMAX。充电过程中,电路检测蓄电池端电压。当蓄电池端电压上升到转换门限值后,充电电路转到过充阶段。
(2) 过充阶段:在过充阶段,充电电路对蓄电池提供一个较高电压Voc,同时检测充电电流。当充电电流降到低于转换门限值Ioct时,认为蓄电池电量已充满,充电电路转到浮充阶段。
(3) 浮充阶段:在浮充阶段,充电电流给蓄电池提供一个精确的、具有温度补偿功能的浮充电压VF。
4.3 浮充电压温度补偿
蓄电池在充满电后,保持电量的最好方法就是加一个恒定电压到蓄电池上。这对充电电路提出了提供合适浮充电压的要求。浮充电压值既要足够大,能补偿蓄电池的自放电电流;又不能太大,以免导致蓄电池内部因过充而发生化学成分的分解。在适当的浮充状态下,全封闭免维护铅酸蓄电池能够稳定工作6~10年。而浮充电压即使只有5%的偏差,也会使蓄电池的寿命减半。
必须考虑的是,铅酸蓄电池的电压特性具有明显的负温度系数,2V的电池约为-4.0mV/℃。也就是说,一个在25℃能够正常工作的充电器,在0℃时就不能提供和保持足够的电量;而在50℃时这个充电器会导致严重的过充。合理考虑温度变化范围,充电器应该根据蓄电池的温度系数给予某种形式的补偿。实际中利用式(2)来确定浮充电压VF。其中VF0和T0分别为基准点的电压和温度值,C为电压温度系数:

控制器中,由单片机和检测电路组成的充电控制电路有效地满足了以上要求。它同时检测充电电压、充电电流和蓄电池温度,根据蓄电池状态可以提供3种充电状态还包括有充电状态下的过流、过充保护,浮充状态下的温度补偿等功能。可以使蓄电池的寿命得到最大限度的延长。
5 控制器硬件拓扑设计
5.1 充电电路硬件设计
为实现上述充电控制策略,充电电路的硬件拓扑采用了BUCK电路,拓扑与控制示意图如图3所示。在快充阶段,充电电路连接太阳能电池与铅酸蓄电池,通过调整BUCK电路的驱动占空比,达到控制太阳能电池输出电流的目的,最终实现太阳能最大功率点跟踪;在过充和浮充阶段,充电电路仍然调整BUCK电路的驱动占空比,不同的是转为控制蓄电池的充电电流,使之不超过蓄电池的最大可接受电流。

5.2 供电电路硬件设计
光伏照明系统采用高压钠灯作为照明光源。根据高压钠灯的负载特性,系统中实现了一个高频逆变电源以及与之配合的高频电子镇流器,不仅消除了工频噪音、提高了照明效率,还有效地减小了控制器的
体积和重量。
图4是系统实现的高压钠灯照明供电电路结构框图。其中高频电子镇流器的原理示意图如图5所示。通过在镇流电感T1耦合的线圈N2上加上固定时间间隔的直流脉冲,在N1绕组上感应出3000V以上高压,将灯启辉。灯点燃后,电流感应器T2感应高压钠灯电流,产生电流检测信号,关断启辉放电电路。镇流电感采用高频磁芯绕制。提高频率的同时也大大减小了所需镇流器的电感量,从而减小了它的体积和损耗。试验证明,整个高频电子镇流器电路能够稳定、高效工作。


6 试验结果
对上述设计的独立光伏照明系统进行照明试验,系统工作稳定后,蓄电池输出功率P=274W,灯的功率PLAMP=252W,效率h?92.0%。与使用普通镇流器相比,整体效率可提高约4%。
高频电子镇流器工作的试验波形如图6所示。其中(a)为启辉脉冲电压波形;(b)为正常工作时高压钠灯的电流波形。由图可以看出,高频电子镇流器在启辉时可输出3000V,1ms宽的高压脉冲,从而可以将灯可靠启动;高压钠灯启动后,其电流频率为50kHz,超出音频范围,从而消除了音频噪音。

试验还记录了7h的充电中,充电电路在快充、过充、浮充3个阶段中转换过程中的电流、电压波形,如图7所示。从图中可以看出,系统较好的实现了本文所述的能量管理控制。应用此能量管理策略的独立光伏照明系统已经在北京同方广场连续稳定工作12个月,验证了该能量管理系统的稳定性。

7 结论
本文研究一种新型独立光伏照明能量管理系统。试验和运行结果表明,与现有光伏照明系统相比,应用此控制器的独立光伏照明系统具有以下优点:①通过充电状态的太阳能电池MPPT控制,提高了系统充电效率;②采用高效、无噪音、无频闪的高频高压钠灯电子镇流电路,实现了功能性照明;③通过检测外部环境状态和蓄电池能量,选择系统工作状态,实现了整个系统的自动、稳定运行。
索比光伏网 https://news.solarbe.com/201108/08/268527.html

