一般需要依据《GB 19964-2012 光伏发电站接入电力系统技术规定》,《GBT 29321-2012 光伏发电站无功补偿技术规范》进行光伏电站的无功配置分析。
光伏电站逆变器可发出无功功率,但考虑电站能为系统提供一定的无功储备容量,需配置无功补偿装置。无功补偿容量应结合实际接入电网情况确定,其配置的容性无功补偿容量,应为光伏电站额定出力时升压变压器无功损耗、线路无功损耗及线路充电功率之和,其配置的感性无功补偿容量应能够补偿全部线路的充电功率。

图1 荒漠电站的系统拓扑
一般的,升压变无功损耗所占总无功损耗的比例接近70% ,送出线路中的架空线产生的无功损耗占总无功损耗22%以上,光伏电站全部电缆线路产生的无功损耗所占比例约为8%;另外,电站的感性无功需求远小于容性无功需求。
对于SVG这样的无功补偿设备,可以实现额定感性到额定容性的连续调节,因此可以以容性无功需求量来配置SVG容量。
为减少计算的工作量,可进行近似计算,其无功补偿容量只需考虑升压变无功损耗,再按照系数进行折算即可。

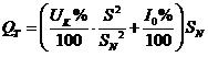
变压器无功损耗计算公式为:

式中,QT 为变压器无功损耗,kvar;UK %为变压器短路电压百分数,I0%为变压器空载电流百分数;S为变压器的视在功率,kVA;SN 为变压器额定容量kVA。一般的,升压变的短路电压百分值为6.7%,空载电流百分值为0.4%。

按照此参数,升压变的无功需求约为电站总容量的7%,整个电站无功需求为10%;若光伏电站并网工程采用一次升压,即升压至35 kV并网,其无功补偿容量可按光伏电站总容量的10%配置。
考虑光伏电站容量对接入电网电压等级的要求及实际并网点对电压等级的限制,光伏电站并网工程可能需要两次升压,若光伏电站接入系统电压等级为110 kV,则还需进行35 kV/110 kV升压方可接入电网,一般35 kV/110 kV升压变短路电压百分值为10.5%,空载电流百分值为0.67%,因此若采用两次升压,其无功补偿容量可按光伏电站总容量的20%配置。
二、风电场的无功配置计算
一般需要依据《GBT_19963-2011风电场接入电力系统技术规定》进行风电场的无功配置分析。

风电场的无功损耗主要由4部分构成:
1)箱式变压器:箱式变压器将风机的电压由690V升压到1OkV或35kV,一台风机对应一台箱式变压器。
2)集电线路:风机的电力经过箱式变压器升压后通过集电线路将电力送至风电场升压站。
3)升压变压器:风电场升压站内升压变压器将集电线路送来的电力升压后送出。
4)风电场送出线路:升压变压器将风电电力升压后经送电线路接入电力系统。
同样的,上述无功损耗中变压器损耗占比最大,计算公式相同。一般的箱式变压器短路电压百分值为4.5%,空载电流百分值为0.9%,无功配置容量应在5.4%以上。升压变压器短路电压百分值为9%,空载电流百分值为0.19%,无功配置容量应在9.2%以上。再加上集电线路和送出线路的无功损耗,整个风电场的无功配置应在20%以上。
所以风电场的无功配置容量一般按照电站容量的20%比例来配置。
索比光伏网 https://news.solarbe.com/201501/27/200961.html

