索比光伏网讯:氮化硅膜作为晶体硅太阳能电池减反射钝化膜是目前太阳能电池制备的主流,然而由于用PECVD来制备的氮化硅膜,是以SixNyHz方式来表达的,其中的x,y,z的数值直接影响了膜的光学性能和对晶体硅太阳电池表面和体内的钝化作用,因为其数值对于膜的折射率、消光系数、致密性都有直接的影响,本文的目的就是研究工艺气体流量对膜性能的影响。
一、机理分析
1.1气体的输运在CVD系统中,气体的流动处于黏滞流的状态。气体的输运过程对薄膜的沉积速度、薄膜厚度的均匀性、反应物的利用效率等都有重要的影响。气体在CVD系统中发生两种宏观流动,一是外部压力造成的压力梯度使气体从压力高的地方向压力低的地方流动,即气体的强制对流。二是气体温度的不均匀性引起的高温气体上升、低温气体下降的流动,即气体的自然对流。对一般尺寸的CVD反应容器(直径430mm内)来说,在流速不高(约10cm/s)时,气体将处于黏滞流的层流状态。
1.2PECVD过程中的微观过程
(1)气体分子与等离子体中的电子发生碰撞,产生出活性基团和离子。其中,形成离子的几率要低得多,因为分子离化过程所需的能量较高。(2)活性基团可以直接扩散到衬底表面。
(3)活性基团也可以与其他气体分子或活性基团发生相互作用,进而形成沉积所需的化学基团。
(4)沉积所需的化学基团扩散到衬底表面。
(5)气体分子也可能没有经过活化过程而直接扩散到衬底附近。
(6)气体分子被直接排出系统之外。
(7)到达衬底表面的各种化学基团发生各种沉积反应并释放出反应产物。
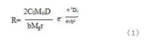
假设一个极端的情况:假设在衬底表面处,反应进行得很彻底,没有残余的反应物存在;假设在装置的上界面Y=B处,物质的扩散项等于零;假设输入气体的初始浓度为c0。可以得到如式(1):

这一结果表明,沉积速率将沿着气体的流动方向呈指数形式的下降,如图1所示,其中V1~V4为气体流速,且V4>V3>V2>V1,为流动方向的长度。可以理解,原因的产生是反应物随着距离的增加而逐渐贫化,因此当流速太低时,尾部的气体浓度迅速减少而导致尾部的生长速度变慢;当提高流速时,尾部的气体浓度没有明显降低而显著提高生长的一致性。

图1气体流量对沉积速率的影响
根据这现象,提高薄膜沉积均匀性的措施有:提高气体流速和装置的尺寸B;调整装置内温度分布,影响扩散系数的分布。
二、实验方法
本文针对的是管式PECVD设备的流量实验,在石墨舟的前后依次沿轴线放置7片抛光片,通过测量膜厚来鉴定膜的生长速度,通过不同的流量来分析流量对成膜性能的影响,对膜性能测试是在固定其它参数的情况获得的。对于电性能的测定则通过稳定的太阳能电池生产线来批量求得结果。反应室的结构、气体流向示意如图2所示。

图2反应室的结构、气体流向
三、结论和探讨
通过实验可以看出,见表1,随着工艺气体总流量的增加,膜的厚度呈上升趋势,也即成膜速度呈递增趋势,但超过一定流量后又呈下降趋势。对这个变化的解释是,当流量的增加,等离子浓度也呈上升趋势,但是当超过一定值后,由于等离子能量在呈下降趋势,导致继续等离子化难度增加,这样当流量继续增加时,等离子的浓度反而会降低,成膜速度呈递减趋势[1]。
随着工艺气体总流量的增加,折射率缓慢增加。在用等离子体形成的氮化硅膜的折射率与致密性没有必然的联系,并不是折射率越高致密性就一定高。这点与用LPCVD所形成的氮化硅膜是有差异的。
随着工艺气体总流量的增加,吸光系数也缓慢增加,HF酸腐蚀的速度也缓慢提高,可见致密性在变差。主要原因是当流量增加时氮化硅膜的成分在发生很大的变化,离四氮化三硅越来越远,其实我们所称的等离子下形成的氮化硅膜是一个相当笼统的说法,其膜成分的配比无数,能适合做高效太阳能电池减反射钝化膜的氮化硅膜的要求是相当高的[2]。绝对不是肉眼看到的,以为都一样。
随着工艺气体总流量的增加,少数载流子的寿命也发生了变化,刚开始呈上升趋势,然后呈下降趋势。从少数载流子的寿命变化可以看出钝化的效能变化,当总流量变化时,等离子的扩散长度也在改变,其实在初期等离子激发时,对硅表面非但没有钝化作用,而存在一个损伤的过程,但是当膜增长到一定厚度时,这种损伤将消失[3],然后会被补偿并增强钝化作用,而并不是说沉积膜的全过程都是钝化过程。
在效率方面,当工艺气体总流量增加时,效率有一个最佳值,如图3所示,其中η为转换效率,f为流量。当然,这个效率的获得与整线其它工序有一个匹配的问题,在这里是要说明一个问题,膜的特性将影响着最佳电池性能[4]。而这是结论,原因在于实验一的对膜性能的改变。膜的性能直接影响制作正面电极的难易程度,同时直接影响转换效率。

图3气体流量对效率的影响
四、结语
可以看出,管式PECVD设备的工艺气体流量的改变,会直接改变膜厚、折射率、吸光系数、少子寿命、转换效率,而其变化不是单调上升或单调下降的,通过该技术分析,可以避免在工艺中为了获得膜均匀而忽略了流量是和电池转换效率密切相关的事实,可以让大家进一步明白电池转换效率与膜性能的密切联系。
这个分析也可以适用于平板型PECVD技术。对进一步提高晶体硅电池的转换效率,对我国晶体硅电池产业获取更大的利润或降低生产成本都有直接的帮助。(作者 李军阳)
索比光伏网 https://news.solarbe.com/201204/19/257078.html

