索比光伏网讯:前两天,晶晶接到客户老板投诉说:
咋回事啊,我的厂房装了光伏发电系统,原本坐等收益的。一个月过去了,没收到卖电收益,反被供电局罚款!

晶晶安慰客户到:
老板,先别着急,说说供电局给的罚款原因是啥?
老板:
供电局说我家工厂功率因数不达标!
(供电局对一般工业用电的功率因数要求是≥0.9,小于这个数会收取惩罚性电费)
那么问题来了,没装光伏之前功率因数都是达标的,装了光伏功率因数却不达标了,这是为什么呢?
且听晶晶慢慢道来
如下图采用50kW逆变器厂房屋顶电站示意图,自发自用余电上网模式。假设供电局功率因数考察点在电网进线处。

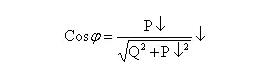
功率因数计算公式为:

Q为厂区内消耗的无功功率,主要是厂区内感性负载(如车床等电动机负载)
P为厂区内消耗的有功功率,主要是厂区内电热、照明等设备。
“正解”
装了光伏之后,逆变器发出的有功功率供给厂区负载使用,那么在供电公司功率因数考查点,工厂内从电网吸收的有功功率就大幅减少,其结果就是功率因数降低,导致罚款。


那么该如何解决这一问题呢?
方法一:
同供电局协商改变功率因数考查方式或者考查点,使其考查方式更合理。
方法二:
调节逆变器输出功率因数,使逆变器发出无功,供给厂内感性负载使用,那么厂区从电网吸收的有功功率和无功功率同时减少,这样功率因数可以保持在原来水平。

所以在建设工商业光反应电站,特别是自发自用,余电上网模式时,一定要注意安装光伏前后的功率因数变化,避免因装光伏带来罚款,那就得不偿失了。


索比光伏网 https://news.solarbe.com/201711/02/129829.html

