广东省《关于确认广东省2014、2015年光伏建设实施方案的函》的通知
来源:世纪新能源网发布时间:2016-12-26 23:59:59 索比光伏网讯:粤发改能新函〔2016〕6320号
各地级以上市发展改革局(委)、顺德区发展规划和统计局:
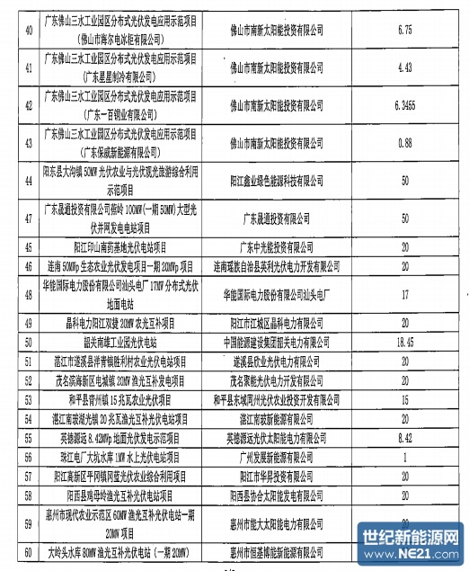
现将水电水利规划设计总院《关于确认广东省2014、2015年光伏建设实施方案的函》(水电规信息函〔2016〕15号)转发给你们,请做好光伏发电项目建设的监督管理工作,督促列入方案的各项目业主积极落实项目建设条件,促进项目建成投产并网发电。同时通知项目业主按照要求在国家能源局可再生能源发电项目信息管理平台及时填报项目建设、运行有关信息。
广东省发展改革委
2016年12月26日







索比光伏网 https://news.solarbe.com/201612/27/150356.html
责任编辑:solar_robot
索比光伏网&碳索光伏版权声明:
本站标注来源为“索比光伏网”、“碳索光伏"、"索比咨询”的内容,均属www.solarbe.com合法享有版权或已获授权的内容。未经书面许可,任何单位或个人不得以转载、复制、传播等方式使用。
经授权使用者,请严格在授权范围内使用,并在显著位置标注来源,未经允许不得修改内容。违规者将依据《著作权法》追究法律责任,本站保留进一步追偿权利。谢谢支持与配合!