大阳能是世界上公认的最清洁的、取之不尽用之不竭的能源,但于由于利用率太低导致用太阳能发电的成本过高,很难实现有商业化价值开发。后来出现了“塔式太阳能热发电技术”,其太阳能利用效率很高,转变为电能的成本也很低。塔式太阳能热发电系统是利用独立跟踪太阳的定日镜群,将阳光聚集到固定在塔顶部的接收器上产生高温,产生过热蒸汽或者先产生高温熔盐储存热量,再在必要时利用高温熔盐产生蒸汽,驱动汽轮机发电机组发电,从而将太阳能转换为电能。
不过,由于定日镜聚光瞄准技术一直没有解决,使得这么好的技术虽然已经问世30多年了,却始终还停留在科学研究阶段,无法前进。难道说,聚光瞄准真是一道无解的难题吗?
热情触发灵感,重在化繁为简
世上无难事只怕有心人。热衷于追逐科技尤其偏爱研究太阳能的何开浩用一项发明专利解决了这个问题。他在翻阅资料、研究定日镜和跟踪控制系统的原理时,想起了阿基米德的故事。受到阿基米德的启发,他发明了“塔式太阳能热发电系统的聚光瞄准装置”,并针对性地提出一组数学公式,用以在阴天或阳光偏弱的条件下计算太阳光线方位,从而指导定日镜对角度进行精准定位。

图1:《塔式太阳能热发电系统的聚光瞄准装置》原理图(有多种实施方式)。
a:从天空照射下来的太阳光(太阳在天空正上方)。
b:经定日镜反射后的太阳光(反射光)。
c:从各定日镜中心射向聚光塔目标的激光束。如果经定日镜反射后的太阳光(反射光)是对准聚光塔目标的。那么,这反射光一定要同相应的激光束相平行。这样就可以根据平行光线的性质,只要检测反射光是否与激光束平行来判断反射光是不是对准聚光塔目标了。如果检测到二者不平行,就只要适当调整定日镜的方向,使二者平行就可以了。
d:激光器。
何开浩指出,该专利的实施方法特别简单,就是利用平行光线通过凹面镜反射或者凸透镜折射会在焦点处聚集成一点,以这一原理来判断太阳和激光束是否并行,进而判断太阳光是否正确的被反射到目标上去。如何判断太阳光和激光束是平行的呢?太阳光不是绝对的平行光线,所在焦点处聚集成的只是个圆斑而不是一点,而激光束能聚焦成一点。因此,只要激光束聚焦成的点在太阳光聚集成的圆斑中点就可以说两者是平行的。
“这种检测完全可以用现在很普及的数码相机或者聊天摄像头来完成,数码相机或者聊天摄像头里面都有芯片,只要稍微对其进行重新编程用来分析激光束聚焦成的这一点是否在太阳光聚集成的圆斑中点。”何开浩介绍说,“如果检测到检测激光束聚焦成的这一点偏离在太阳光聚集成的圆斑中点。那么芯片就可以根据偏离的方向和程度来控制安装在定日镜里的步进电机运行,从而对定日镜作相应调整。这时候检光屏上太阳光聚集成的圆斑也会相应的运动。直到激光束聚焦成的这一点偏离在太阳光聚集成的圆斑中点。芯片控制安装在定日镜里的步进电机停止运行。”
最重要的是,“类似的程序只是一个非常简单的小程序,要实现根本没有什么困难。”何开表示。
虚心请教前辈,探索计算公式
后来,何开浩把相关资料寄到了中国科学院,向一位德高望重的老院士请教。老院士提出了很实际的问题:阴天或阳光不好时如何跟踪,会不会出现对环境的光污染?显然,要解决这个问题就必须让发电系统做到在看不见太阳的时候,通过计算太阳位置使装置照样能够非常准确地运行。
经过反复思考,何开浩终于找到了一些关于这方面计算的数学计算公式。
他指出,要计算定日镜方向,首先要给定日镜建立一个三维坐标系。该坐标系以定日镜的活动中心为原点,X轴向正南方,Y轴向正东方,Z轴向正上方。另外,要计算太阳光线和其他直线的方向,还必须用这个三维坐标系中的球坐标来确定每个定日镜的方向。

图2:球坐标示意图
球坐标通俗讲就是以坐标原点O为球心,半径为r的球罩(如图2所示)。假设有一条连线从太阳中心到原点O,这连线必然要经过假设的球的表面。把连线与球表面的交点标记为P点,这样,直线OP就表示光线从哪个方向射来的,并且可以用点P的各项数值计算这条光线。在球坐标中,这个P点是用这样三个有次序的数(r,θ,φ)来确定,其中r为原点O与点P间的距离(也就是球半径);θ为有向线段OP与z轴正向的夹角,称为“仰角”;图中M为点P在XOY面上的投影;φ为X轴正向与投影线OM的夹角,称为“方位角”。
有了这三个数值,就可以计算出p点在直角坐标系中的坐标值(x,y,z)了,其公式为:x=r·sinθ·cosφ,y=r·sinθ·sinφ,z=r·cosθ。
反过来,如果知道某一点的坐标值也可计算出球坐标的三个值,其公式为:
r=√x2+y2+z2

目标精准定位,确保精准运行
接下来就看看何开浩是如何计算的。
假设把太阳中心和坐标原点连一条连线(也就是太阳光照射到原点的光线),这条连线同样会经过球坐标表面,我们把连线与球坐标表面的交点设为P1,其方位角、仰角和半径分別为(φ1,θ1,r)。同样的,假设把坐标原点和光线要反射到的目标点连一条连线,这条连线同样会经过球坐标表面。把连线与球坐标表面的交点设为P2,其方位角、仰角和半径分別为(φ2,θ2,r),如图3。

图3:计算方式
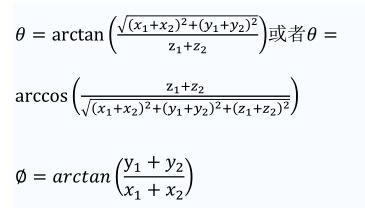
光线反射的规律是入射角等于反射角;入射角是入射光线与法线形成的夹角;反射角是反射光线与法线形成的夹角;法线是定日镜平面的垂直线。要把从P1O线射来的光线沿着OP2这条线反射出去。法线就应该是∠P1OP2的角平分线。角平分线通常可以用向量相加的方法,用菱形对角线来确定。就是或者,因为向量和向量起点都是原点O(0,0,0),所以计算结果就很简单,二个向量相加后的向量终点的坐标值为S(x1+x2,y1+y2,z1+z2)。就是图中S点。因为OP1、OP2长度相等,都是球的半r,起点为同一点原点O(0,0,0)。根据平行四边形定则,可以证明,四边形OP1SP2为菱形。那么OS是菱形OP1SP2对的对角线了,所以OS就是∠P1OP2的角平分线、就是要找的定日镜在原点O上的法线。
根据直角坐标与球坐标换算公式,可以得出定日镜上法线的方位角、仰角计算公式分別为: 或者

P1点坐标(x1,y1,z1),P2点坐标(x2,y2,z2)都包含有一个不确定的值:球坐标半径r,那怎么办呢?何开浩表示,这不要紧,这个值无论设置成大于零的什么数值都没有关系,因为填入公式后,这个r值刚好会在分子、分母中互相抵消。
有了这个计算公式,就可以用这个公式计算出的数值去定位定日镜的方位角和仰角。定位的具体方法,可以用下图4的装置来实施。

图4:装置示意图
这种装置由纵向转轴和水平转轴二个转轴组成,定日镜就安装在水平转轴上。纵向转轴的轴线方向与地面垂直,可以作水平方向转动,转动时可以改变定日镜的方位角。水平转轴的轴线方向是水平的,转动时可以让定日镜上下翻转,这样翻转就可以改变定日镜的仰角。
下一页> 余下全文何开浩介绍说,有了这个数学公式和定位装置,我们即使在人看不到太阳的时候,只要我们知道太阳这个时候应该在什么位置,定日镜就能准确运行。
搞清同仰角圆,确定计算方式
那么,我们又怎么知道太阳这个时候应该在什么位置呢?何开浩表示,一般情况下人们可以通过天文数据了解太阳的位置,比如,正午时刻太阳应该赤道附近,多少经度,多少纬度的那个地方的正上方。“我们把这个地方称其为‘太阳光直射点’。对于太阳光直射点这种经纬度数据,我们还应该转换一下,将其转换成在个时候太阳相对于定日镜的仰角和方位角。”他说。
简单说,地球的经纬度其实就是球坐标的一种变形,地球南北极就是坐标的Z轴,而赤道面就是坐标的XOY面。在赤道面上,从西经90度到东经90度的直线方向,设为坐标的X轴方向。以此类推,赤道面上从经度0度到经度180度的直线方向,设为坐标的Y轴方向,这样经纬度数值转化成方位角和仰角非常方便。
不过,何开浩定日镜的坐标是以当地的地面垂直线正上方为Z轴方向:当地的水平面上,正南方向为X轴方向,正东方向为Y轴方向。由于两个坐标系的方向都不一致,因此这两个坐标系的坐标值必须要互相转换。

图5:“同仰角圆”示意图
假如球坐标上有一个点P,其仰角为θ,距离为球半经r,而其方位角是变化的,从0度开始慢慢增加,那么P点的位置也要随之慢慢变化,当方位角一直增加到360度后。P点位置变化的轨迹就是一个完整的圆。
这个同仰角圆与直角坐标系与XOY平面平行,圆的半径是r·sinθ,圆心是在Z轴上,离球心O点距离为r·cosθ的C点上。假设Z轴与球面的交点为Q,坐标为(Xq,yq,zq),那么同仰角圆的圆心C点的坐标就是(cosθ·xq,cosθ·yq,cosθ·zq)。
对于“同仰角圆”,何开浩表示,搞清同仰角圆这些性质后就可以在已知点P仰角和坐标值的情况下,计算出P点的方位角了。具体方法是:在P点的同仰角圆上,找出一个已知方位角的点P1,连接P1C、PC,那么,P点的方位角就是P1点的方位角再加上角∠PCP1。用这种原理,就可计算S点相对于定日镜球坐标的方位角的。
假如我们在东经n度,北纬m度的某一个地方P点,有一塔式太阳能电站,建了许多定日镜。某一天为阴天,当地观察不到太阳的位置。但是通过天文数据知道,这个时候太阳应该赤道附近,东经N度,北纬M度S点的正上方。我们怎样计算出,对于P点的定日镜来说,这个时候太阳的仰角和方位角应该是多少呢?
P处的定日镜Z轴方向为垂直向上,就是说定日镜Z轴与地球球心O点与P点连线一致。所以可以用直线OP来代表定日镜Z轴。太阳位置在S点处的正上方,说明S点在太阳中心与地球球心O点的连线上。所以可以用直线SO来表标注太阳光的方向(如图6所示)。

图6:用直线SO来表标注太阳光的方向。
下一页> 余下全文何开浩表示,P点和S点经纬度数值,可以通过简单的加减,非常容易换算成球坐标的方位角和仰角,换算后各自分别记为P(φp,θp),S(φs,θs)。根据直角坐标与球坐标换算公式,可以计算出各自的坐标分别为P(XP,YP,ZP),S(XS,YS,ZS)。这样就可以看到P点处太阳的仰角应该是OS与OP的夹角∠SOP

仰角计算相对简单,接下来要计算方位角了。要计算方位角,首先要知道定日镜坐标的X轴或XOZ面在哪里。由于定日镜的X轴的方向是当地位置P点处水平面上的正南方,那么X轴的向反方向是指向北极的。这么一来地球坐标的Z轴与OP组成平面,应该与定日镜坐标的XOZ面重合,也就是说地球过P的经纬度的那一条经度线就在定日镜坐标的XOZ面上。这样一来,把直线OP沿P点的经度线向下转动90度,到达x点,直线Ox方向就是定日镜坐标的X轴方向。
“定日镜坐标的X轴和XOZ面确定,计算S点相对于定日镜球坐标的方位角就有参照地方了。”何开浩表示,把直线OP沿P点的经度线向下转动θsop度,到达T(xt,yt,zt)点。这个点对于地球的球坐标来说,方位角为φp,仰角为θp+θsop。对于定日镜的球坐标来说,方位角为零度,仰角为θsop。那么在定日镜坐标系中,T点和S点都在仰角为θsop的同仰角圆上,同仰角圆的圆心就在直线OP上的C处,坐标值为(cosθsopxp,cosθsopyp,cosθsopzp)。为了书写方便,可以将其记成C(xC,yC,zC)。连接TC、SC,因为T点对于定日镜的球坐标来说,方位角为零度,那么∠TCS就是S点相对于定日镜坐标的方位角。
跟据向量夹角公式:

“这样,我们就得到了计算太阳相对于定日镜的仰角方位角计算公式。”何开浩表示。
巧用天文数据,转换经纬数值
在定日镜坐标系中,观察到并测量出太阳的方位角和仰角后,怎么能够根据这些数据,将其确定为太阳在地球哪个经纬度的正上方呢?
何开浩指出,有以上的经验,计算并不困难。“如我们有某个地方,这个地方的经纬度换算成方位角和仰角后,然后测量出太阳相对于当地定日镜球坐标的方位角和仰角分别为(φs,θs),那么我们就能确定太阳在地球哪个经纬度处的正上方了(如图7所示)。”

图7:如何确定太阳在地球哪个经纬度处的正上方
下一页> 余下全文根据以前的分析,可以确定地球坐标的Z轴方向,相对于这个地方定日镜球坐标,方位角和仰角应该分别为180度、θp,换算成坐标值为Q(-r·sinθp,0,r·cosθp)。为了书写方便,可将其记成Q(xq,yq,zq)。太阳方位角、仰角转化成定日镜坐标值是S(xs,ys,zs)。太阳相对于地球坐标系的仰角是∠SOQ。用向量成角公式可以计算。

我们把直线OQ沿P点的经度线向前转动soq度,到达T(xt,yt,zt)点,这T点对于定日镜的球坐标来说,如果θsoq>θP,那么,方位角为零度,仰角为θsoq-θP)。如果θsoq<</span>θP,,那么,方位角为180度,仰角为θP-θpsoq)。对于地球的球坐标来说,方位角为φp,仰角为soq。那么T点和S点都在地球的球坐标系中,仰角为soq的同仰角圆上,圆心就在直线OQ上的C处,坐标值为(cosθsoqxq,cosθsoqyq,cosθsoqzq)。为了书写方便,我们将其记成C(xc,yc,zc)跟据向量夹角公式:

“这样,我们就计算出了太阳位置在相对于地球坐标在仰角θSOQ和方位角(φTCS+φp)的正上方。然后将其转换成经纬度的值,问题就解决了。”何开浩表示。
想让光在哪里,光就照在哪里
塔式太阳能热发电系统以前的计算方式要定日镜要有非常复杂的结构,技术要求也高,所以才导致这一技术问世30多年来一直得不到很好的利用。但是何开浩推导出来的计算公式如果用计算机编程来计算话,非常简单。另外,定日镜也无需什么是复杂结构,只要定日镜的立柱保证垂直向上就行。因此,他的方法不一定非要用在一个庞大的塔式太阳能发电系统当中,日常的生活当中的好多地方都可以使用。
何开浩表示,目前的地下车库、大型商场、厂房、仓库等地方通常都要大白天开着电灯照明,电力消耗量非常大。但如果用他的方法再结合光导管照明技术,就可以让这些地方实现太阳光照明。
应用时,可以安装一个大的聚光凹面镜来聚集太阳光,把聚集太阳光的焦点落到光导管的进光口里面就可以了。同时,采用何开浩的方法去指导聚光凹面镜转动,就可以确保每一时刻聚集太阳光的焦点,都能准确无误地落到光导管的进光口里面,这样的话,不用耗电就能实现了照明。
这种照明装置在何开浩眼里只不过是个非常容易实现的小装置,稍微大一点的装置可以用来安装太阳能锅炉。具体方法跟塔式太阳能热发电差不多,只是规模要小得多,技术以及实现难度也比发电小得多。
“在太阳能热水器上应用的话就更简单了。”何开浩介绍说,要想让太阳能热水器多产生热水,只要用平面镜把附近的太阳光反射到太阳能热水器上就提高热水器的光照强度。
总之,何开浩的方法原理在我们日常生活中需要太阳光的地方都可以使用。“我们想让太阳光照在哪里,太阳光就能一直照在哪里!”他兴奋地说,“让我们更好地利用太阳的光和热,从而减少对电力和其他能源使用。等到技术成熟了,就可以象品积木一样,品出一个个太阳能电站来了。”
索比光伏网 https://news.solarbe.com/201601/02/177123.html

