一、问题提出
培育和发展战略性新兴产业是建设我国现代产业体系的重要内容之一。我国战略性新兴产业近年来获得了快速发展,但与此同时,发展中的一些问题也不断凸现,部分战略性新兴产业历经短暂“繁荣”之后却急转直下,其中以光伏产业最为典型。我国光伏产业在较短的时间内获得了跨越式发展并一度被认为是为数不多的可以参与国际竞争的战略性新兴产业,然而2011年欧美实施的“双反”政策使我国光伏产业瞬间进入“寒冬”,90%以上的光伏企业都陷入了危机。光伏产业是我国战略性新兴产业发展的一个缩影,也是我国各级政府重点支持的产业之一,因此分析其跌宕起伏的原因对于进一步完善我国战略性新兴产业相关政策意义重大。
战略性新兴产业目前处于“技术示范和商业化示范”阶段,在与传统产业商业竞争中暂时处于劣势,政府的财政补贴可以引导更多的社会资金进入新兴产业领域,这是促进新兴产业商业化和培育市场需求的重要手段。从产业链的角度,我们可以将新兴产业划分为中上游技术开发与生产制造等“供给端”环节以及新兴产业应用与终端消费等“需求端”环节。以光伏产业为例,光伏设备的研发和生产制造属于中上游“供给端”环节。光伏设备的应用(主要是光伏发电)及消费(企业及居民用电)等属于下游“需求端”环节,新兴产业的成长和发展不仅要重视“技术供给”端的驱动因素,同时也必须高度重视“市场需求”端的拉动因素。以技术和生产等“供给端”为重点的财政补贴有利于促进创新、降低成本和扩大规模,以市场消费和应用等“需求端”为重点的财政补贴则有利于创造需求、促进消费。尽管学术界对于新兴产业财政补贴作用及其必要性取得了基本一致的认识,但是新兴产业的财政补贴是以技术和生产等“供给端”为主,还是以消费和应用等“需求端”为主?关于这一点学术界一直存在较大争议。
市场需求是一国(地区)产业升级的动力和产业竞争力形成的关键内生要素。发达国家新兴产业全球价值链的形成与布局,不仅在于其发挥了技术创新等高端要素禀赋能力的竞争优势,更为重要的是源于其对全球市场中需求因素的战略思考以及对需求市场的整体把控能力。国内外大量研究也表明,市场需求是新兴产业成长和发展的重要驱动因素。Schmookler的“需求驱动”假说认为,需求导向和规模是促进创新活动的最有效的内在激励机制;Kleinknecht等的研究验证了需求增长是引致产业创新并提高其竞争力的主要因素。Lee的研究则表明技术交流在很大程度上依赖于市场需求。然而,我国战略性新兴产业培育依然沿袭了“重技术轻市场”的惯性与路径,以光伏产业为例,近年来我国先后实施了“金太阳示范工程”、“太阳能屋顶计划”等多项促进光伏产业发展的财政补贴方案,但这些方案主要是针对光伏产业链的中上游技术开发与生产制造“供给端”环节,而针对光伏设备应用(发电)及消费市场等“需求端”环节很少。中国作为全球人口最多的大国,高容量的潜在国内市场是我国战略性新兴产业培育和发展的巨大市场资源,但是我国战略性新兴产业的市场培育相对滞后。以光伏产业为例,我国作为全球光伏生产大国,光伏国内应用市场仅占全球的14.5%,这与我国光伏产业巨大产能形成鲜明反差。
现有战略性新兴产业财政补贴研究较多的是强调研发创新等“供应端”环节的财政支持,鲜有学者针对战略性新兴产业消费市场等“需求端”环节的财政补贴方案进行深入研究。鉴于此,本文聚焦于解决我国光伏等一些新兴产业产能迅猛扩张,但是国内需求市场严重滞后的现实困境,从“供给端”与“需求端”比较视角分析国内需求市场严重滞后的内在原因,论证财政补贴适度偏向“需求端”的必要性和可行性,以期解决我国战略性新兴产业培育发展过程中的现实困境。
二、现行供给端财政补贴方案特征及其负面效果
(一)现行“供给端”的财政补贴方案
总体特征长期以来,我国大部分产业的发展存在“重技术轻市场”倾向,战略性新兴产业的现有发展模式亦不例外。以光伏产业为例,虽然我国培育和发展光伏产业的战略价值在于能源安全和环境保护,但是一些地方政府更加热衷的是光伏产业所带来的投资发展机会,期望通过增加光伏等新能源产业的投资和出口来拉动地方经济增长并在短期内带来GDP政绩。地方政府发展光伏产业的“目标异化”导致了财政补贴主要流向生产制造等“供应端”环节。我国光伏产业财政补贴方案目前主要有金太阳示范工程、太阳能屋顶计划和分布式光伏补贴等,如表1。

我国当前光伏产业财政补贴方案的宏观层面和微观层面存在以下几个特点
1.从财政补贴政策制定部门来看,“供给端”财政补贴政策政出多门,目标各异,资金分散。我国当前光伏产业政策分别由多个部门制定,政策目标多元化,实施重点不完全一致。如住房与城乡建设部出台的“屋顶计划”旨在倡导发展节能建筑、促进节能减排,科技部“金太阳工程”则旨在启动国内光伏市场,而国家能源局的相关计划则着眼于能源产业的综合发展。多部门多元化的财政补贴政策均以“供给端”为主,且补助资金分散,政策冲突现象时有发生,使得政策实施的实际效果差强人意。
2.从财政补贴政策本身来看,“供给端”财政补贴政策缺乏协调机制和相关配套措施。虽然我国绝大部分当前光伏产业财政扶持政策补贴比例明确,但由于缺乏有效协调机制,导致光伏制造企业、渠道企业、施工单位、电网公司和建筑物业主之间的关系模糊,权责不清。例如2009年出台的金太阳工程第一期项目有329个,原计划在2~3年内建设完成,而实际上这一期项目到2014年下半年的完成率不到50%,其根本原因是相关工程配套措施缺位。另外,我国的政府补贴更大程度上扮演了“事后补救”的角色,带有明显的国有偏好、规模偏好和出口偏好。
3.从政策具体实施层面来看,部分财政补贴政策实施周期短并且缺乏稳定性。新兴产业的发展需要一个较长时间的培育过程,新兴产业的财政补贴政策必须要有足够长的时间跨度,多变的政策导向容易导致新兴产业追求短期利益,使得我国的一些新兴产业支持政策缺乏持续稳定性。以光伏电站建设为例,光伏电站安装时可以获得一次性财政补贴,但是在光伏电站完成后建立有效的配套措施促进光伏电站的并网发电方面,由于部分光伏电站在获得国家财政补贴建设完工之后,缺乏后续配套措施,至今没有组织验收,使得并网发电变得遥遥无期。
(二)现行“供给端”财政补贴方案导致的负面效果
现行“供给端”为主的财政补贴方案导致大量财政补贴沉淀在中上游生产制造环节,“需求端”的财政补贴严重不足,进一步引发了我国战略性新兴产业发展过程中的各种问题,以光伏产业为例,目前导致的负面效果表现在以下几个方面。
1.大量企业盲目进入,市场集中度低并且产能非理性扩张。各级地方政府通过优惠低价、信用贷款、减税以及直接补贴等多种财税扶持手段鼓励新兴产业的投资,但事前没有设置必要的进入门槛,致使大量生产企业不顾市场合理需求盲目进入,最终导致一些新兴产业的市场集中度逐年下降,部份新兴产业的产能在短期内非理性扩张。以光伏产业为例,近年来我国光伏企业晶硅电池市场集中度逐年下降,如图1所示。

2.新兴产业培育的“消费红利”流失,背离了培育和发展新兴产业的根本目标。战略性新兴产业财政补贴过度偏向“供应端”,致使生产制造环节急剧扩张,新兴产业消费环节的资源环境“消费红利”则主要向发达国家输出。以光伏产业为例,我国光伏产品出口率于2011年一度达到95%以上,这种严重依赖出口的现状背离了我国发展新能源的根本目标。一方面,我国承担了高污染、高耗能的生产制造环节,却将节能的效果出口到了发达国家,与我国政府发展新能源的目标背道而驰;另一方面,我国光伏企业为了追逐国际市场上的更大的市场份额,竞相压低产品价格,不仅导致光伏市场的无序竞争,而且受制于国际市场需求波动和贸易保护,减缓了我国光伏产业的发展速度,可能致使我国新兴产业错失发展的“机会窗口”。
3.过度依赖国际市场以及国内市场需求乏力导致一些战略性新兴产业“产能过剩”。战略性新兴产业链中上游环节的“供应端”的财政补贴,刺激了产能的过度增长,而下游需求严重不足,国内市场过小,无法消化中游产能,在国际市场萎缩的情况下,这将进一步演变成为“产能过剩”。以光伏产业为例,2009—2012年我国国内市场太阳能电池需求量占供给量的比例均在4.5%左右,这说明国内市场需求严重滞后于产能的发展速度,如图2所示。

4.过度偏向“供应端”的财政补贴给欧美国家实施“双反”留下藉词,这是引发欧美国家“双反”的直接原因之一。过度偏向“供应端”的财政补贴导致了国内光伏产品消费市场发展迟缓,大量的光伏产品被迫低价出口给欧美等国家,这给本国的光伏企业带来了一定的冲击。“供应端”财政补贴的主要内容就是针对生产链环节的补贴,欧美国家“双反”调查中的“反补贴”调查主要就是针对这一项内容展开的。
三、需求端财政补贴的战略意义和预期效果
(一)“需求端”财政补贴的战略意义
从我国新兴产业培育和发展的现实情况来看,市场需求的培育明显不足,已成为制约我国新兴产业发展的关键性因素之一,因此调整我国新兴产业财政补贴重点方向,将新兴产业财政补贴适度偏向“需求端”具有多方面的战略意义。
1.“需求端”的财政补贴是落实我国战略性产业发展目标的关键所在。以光伏产业为例,发展光伏产业的初衷是缓解国内能源危机,优化国家能源结构,促进节能减排,国家如果不能有效启动国内光伏产业需求和应用,那么发展光伏产业的战略意义就大打折扣。因此,将新兴产业财政补贴的政策重点和相关资金向“需求端”转移,以刺激光伏等战略性新兴产业的应用市场,扩大我国绿色能源的消费,这是践行我国培育和发展光伏等战略性产业的战略目标落脚点。
2.“需求端”的财政补贴是刺激战略性新兴产业国内市场需求的有效手段。市场需求在决定一个国家产业竞争力的因素中扮演着十分关键的角色。以光伏产业为例,我国光伏产业目前处于培育期,在与火电、水电等传统能源的竞争中处于市场弱势。由于消费者的消费惯性、传统电力公司的预先锁定以及光伏发电相对较高的成本等方面的因素,都将阻碍光伏产业国内市场的发展。因此,通过实施适度偏向“需求端”的财政补贴方案,将有效刺激国内光伏产业的市场需求,这是促进光伏产业商业化条件不断成熟,由培育期平稳过渡至成熟期的关键所在。
3.“需求端”的财政补贴是新兴产业发挥“正外部性”的必要鼓励手段。培育和发展战略性新兴产业是立足于我国经济可持续发展的重大产业发展战略,对于我国经济社会的发展具有显著的“正外部性”,以光伏产业为例,光伏产业具有节能减排、环境保护、优化能源结构、提高能源独立性等多方面的溢出效应,因此光伏产业给全社会所带来的“正外部性”不应由光伏企业独自承担高昂的成本。如果缺乏适当的政府财政支持,光伏产业私人成本与社会成本的不一致必将引发“市场失灵”,从而挫伤一部分企业培育和发展战略性新兴产业的积极性。
4.“需求端”的财政补贴契合了新兴产业成长周期的客观需要。从新兴产业形成与发展生命周期特点来看,新兴产业在不同的发展阶段需要采取不同的发展政策。美国总统科学技术顾问委员会(PCAST)将新兴产业划分为“研究和开发”(Research&Development)、“技术示范和商业化示范”、“规模化降低成本”(Buy-down)和“大面积应用阶段”(Widespread Deployment)等几个主要发展阶段。从新兴产业发展的关键性指标来看,包括光伏产业在内的我国多数战略性新兴产业目前基本处于由“研究和开发”向“技术示范和商业化示范”过渡时期,因此需求因素是现阶段新兴产业发展的关键性商业化要素,“需求端”的财政补贴是契合现阶段新兴产业成长周期性特点的客观需要。
下一页>(二)需求端财政补贴的预期效果
1.需求端财政补贴预期效果的经济学分析国务院《关于加快培育和发展战略性新兴产业的决定》明确提出,要在培育和发展战略性新兴产业过程中,发挥市场的基础性作用,积极引导和鼓励社会资金投入,为各类企业健康发展创造公平、良好的环境。我国战略性新兴产业目前还处于产业发展的培育时期,战略性新兴产业大多数领域虽然进入的厂商数目众多,但是各厂商的市场规模并不大,因此政府可以将我国战略性新兴产业目前的市场结构理解为一个完全竞争市场。从经济学角度分析,“需求端”的财政补贴对于战略性新兴产业的发展,无论从短期还是中长期都有着积极意义。以光伏产业为例,实施“需求端”的财政补贴给光伏市场所带来的短期和中长期影响如图3所示。

(1)“需求端”财政补贴的短期影响。从短期而言,适度偏向“需求端”的财政补贴,可以有效地促进供给端的发展,如图3(a)。政府针对“需求端”进行财政补贴,短时间内供需曲线不会发生大的变化,补贴的影响主要体现在原有供求曲线上量的变化,(P0,Q0)是政府补贴前的光伏市场自发形成的供需均衡点。政府财政补贴后,短期内市场的供给是不变的,但需求增大,由Q0扩大到了Q1,此时,供给的价格也上涨。价格上涨的程度由供给曲线决定,即由Q1在供给曲线上对应的价格P2决定。以上步骤循环往复,最后会出现一个因为补贴而形成的“补贴均衡”状态。此状态下消费者购买点是(Pn,Qn),销售点是(Pn+1,Qn)。假设政府补贴的比例为s,则其补贴额由开始的s×P0在经过短期的变化后变为s×Pn+1。从图中可以看出,消费端实际获得的补贴为P0-Pn,“供应端”也在这个过程中分流到了部分补贴额,为Pn+1-P0。据此不难发现,政府对于“需求端”的补贴并未全部流进消费者的口袋,“需求端”激励对于中上游生产环节同样具有拉动作用。
(2)“需求端”财政补贴的长期影响。从中长期而言,适度偏向“需求端”的财政补贴,将有利于国内需求市场的形成,如图3(b)所示。政府对“需求端”补贴会导致供求曲线的移动,由于生产商预测到这一政策必然会使产品需求量增加,生产商会扩大生产规模,增加供应能力,供应曲线由S移至S1。对于消费端而言,由于政府补贴促进了消费,扩大了需求,需求曲线从D移至D1。显然,从中长期而言,政府对于“需求端”的补贴在创造内需的同时,也促进了供给端的发展,从而直接促进了新兴产业国内市场的发展。
2.需求端财政补贴预期效果的数据模拟
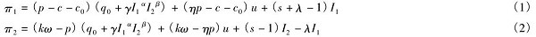
(1)预期效果模拟的数据模型我国战略性新兴产业面临着生产制造环节过度发展而消费环节相对滞后的非均衡状况,如果将现行财政补贴政策适度调整并偏向于“需求端”,将构成一种以“需求端”主导、“供给端”追随的动态Stackelberg博弈关系。在只考虑由“需求端”和“供应端”组成的简单市场模型中,假设“需求端”处于Stackelberg假设中领导者的地位,“需求端”的产品需求量将直接决定“供应端”作为跟随者在需求市场的投入。为了证明“财政补贴偏向需求端将更有利于新兴产业国内市场的发展”这一命题,我们只要证明Stackelberg均衡状态下的最优解优于纳什均衡状态下的最优解。以光伏产业为例,设光伏产品生产量为x,需求量为q,由固定需求量q0和变动需求量q1构成,q1取决于“供应端”和“需求端”向光伏市场发展的投入成本(I1,I2)。销售全价为p,生产量超过需求量的剩余部分处理折扣率为η。“需求端”发电回购部分电量为k,回购价格为ω。制造成本为c,平衡系统成本为c0。政府对于“需求端”和“供应端”的财政补贴率为s,“需求端”分摊“供应端”光伏市场投入成本的比例为λ。光伏产品需求量的变动部分q1对于光伏市场的投资满足边际产出递减假设,呈现规模成本递减规律,因此q1满足柯布-道格拉斯生产函数,即q1=γI1αI2β。同时考虑政府的补贴也会对“需求端”和“供应端”的市场投入成本产生影响,政府对于双方的补贴率为s(其中α、β、γ、s均为常数,0<α<1、0<β<1、0<s<1、0<α+β<1、0<s+λ<1)。目前国内光伏市场供过于求,即x>q,超出需求部分为(u=x-q),由此得到“供应端”的利润函数π1和“需求端”的利润函数π2即:

命题一:光伏市场“供应端”和“需求端”都会追求自身利益的最大化,双方会根据对方的反应和策略动态地制定最优策略,形成各自的唯一的纳什最优均衡解。在非合作的情形下,“需求端”为了自身利润最大化,最优策略为分摊“供应端”投资成本的比例λ=0,即不分摊“供应端”的市场投资。本文分别对于I1、I2求偏导,且经过代算得到唯一的纳什均衡解:



据此可以发现,现行中上游“供给端”补贴政策情境下,“需求端”和“供应端”之间会形成一个纳什均衡状态,双方各自根据对方的反应制定自己的最优策略。若补贴政策在现行基础上适度偏向“需求端”,则“需求端”和“供给端”之间会形成Stackelberg均衡状态。通过命题三的证明可以看出Stackelberg均衡解优于纳什均衡解。显而易见,适度偏向“需求端”的财政补贴比“供给端”补贴更有利于光伏产业国内市场的快速发展。
下一页> 余下全文(2)预期效果数据模拟结果假设一个由上游技术开发与生产制造“供给端”、光伏设备应用(发电)及消费市场等“需求端”共同构成的市场,为模拟预期效果,根据现有国家补贴标准及相关企业的数据披露,本文将有关参数分别设定为:γ=100,α=0.5,β=0.3,η=0.9,ω=0.5,c=80,c0=20,u=100,q0=500。依据公式(3)和公式(4)模拟计算分析“需求端”补贴政策能否促进光伏市场的快速发展。
从前文的分析证明可知,纳什均衡为偏向“供给端”财政补贴状态下所形成的均衡,Stackelberg均衡为偏向“需求端”财政补贴状态下所形成的均衡。根据模拟的需要,我们主要讨论p(销售全价)、k(需求端发电回购部分电量)、λ**(Stackelberg博弈下需求端分摊“供应端”投入成本的比例)三个变量的变化对于I*1(纳什博弈下“供应端”的最优投入)、I*2(纳什博弈下“需求端”的最优投入)、I**1(Stackelberg博弈下“供应端”的最优投入)、I**2(Stackelberg博弈下“需求端”的最优投入)的值所产生的影响。本文首先讨论在其他变量不变的情况下,参数ρ由高至低的变化会对最终结果所产生的影响,再依次讨论只有k由高至低发生变化和只有λ**由高至低发生变化会对最终I*1,I*2,I**1,I**2求值的影响,同时还考虑了政府补贴比例s降低的情况。本文借助Mat-lab软件的模拟,得到相应情形下I*1,I*2,I**1,I**2的值,如表2所示。

通过比较表中I*1和I**1,I*2和I**2的大小,均可以得出I*1>I**1,I*2>I**2的结果,因此我们得到三个结论。①在“供应端”和“需求端”的边际收益不变的情况下,政府的补贴力度与光伏产业供需两端对于光伏市场的投入呈正相关关系,这充分说明财政补贴在光伏市场发展过程中的必要性。②在光伏市场“需求端”和“供应端”的边际收益相同的条件下,适度偏向需求端的财政补贴所形成的Stackelberg最优均衡解优于“供应端”财政补贴所形成的纳什均衡最优解。显然,财政补贴重点由“供给端”转移至“需求端”会有效促进光伏产业国内市场的发展。③在其他参数不变的情况下,随着光伏需求端发电回购电量k变大,纳什博弈和Stackelberg博弈下“供应端”和“需求端”最优的光伏市场投入I*1、I*2、I**1、I**2均变大;当回购电量k变小,I*1、I*2、I**1、I**2均随之变小。回购电量与供应需求两端对于光伏市场投入之间呈现正相关关系。这充分表明,光伏发电并网可以有效地促进光伏供需两端对光伏市场的投入以及光伏产业国内市场的发展。
四、结论与启示
1.我国战略性新兴产业目前处于“技术示范和商业化示范”阶段,在同传统产业的竞争过程中处于劣势,因此政府的财政补贴将是促进战略性新兴产业商业化条件成熟和培育市场需求的重要手段。目前我国财政补贴政策多倾向于新兴产业的中上游技术开发和生产制造“供应端”环节,而忽视了下游的新兴产业应用和市场消费“需求端”环节,这种补贴的政策取向虽然对于促进新兴产业的前期发展发挥了积极作用,但也带来了现阶段部分新兴产业“产能过分扩张”、“过度依赖出口”和“国内市场严重滞后”等一系列问题。
2.市场需求是战略性新兴产业竞争力形成的关键内生要素,发达国家新兴产业全球价值链的形成与布局,不仅在于其发挥了技术创新等高端要素禀赋能力的竞争优势,而且在于其对全球需求市场的整体把控能力。中国作为全球人口最多的大国,高容量的潜在国内市场需求是我国战略性新兴产业培育和发展的巨大市场资源,为推动我国战略性新兴产业国内市场的发展,政府将我国战略性新兴产业财政补贴政策适度偏向新兴产业应用和市场消费“需求端”十分必要。
3.调整我国新兴产业财政补贴重点方向,将新兴产业财政补贴适度偏向“需求端”契合了新兴产业成长周期的客观需要,可以降低企业在培育和发展战略性新兴产业过程中实现经济社会发展“正外部性”所承担的部分成本,同时也践行了我国培育和发展战略性产业过程中所提出来的促进绿色消费和节能减排等战略目标,因此具有多方面的战略意义。
4.战略性产业财政政策偏向于新兴产业应用和市场消费的“需求端”环节,可以快速启动新兴产业国内应用市场,同时可以有效激发新兴产业中上游“供应端”的积极性,并且是破解我国部份新兴产业“产能过剩”现实困境的有效手段。以光伏产业相关数据为例的模拟结果也表明,财政政策适度偏向光伏应用和市场消费的“需求端”环节将达到良好的效果。5.光伏产业目前正在推广的针对光伏发电应用和市场消费等“需求端”环节的“度电补贴”政策,在实际应用过程已经表现出了对国内需求市场强劲拉动效果,初步扭转了我国多年来针对中上游生产制造等“供给端”环节财政补贴所导致的困境。我们预期目前正在推广的“度电补贴”等适度偏向“需求端”的财政补贴将在实际应用中表现出更好的效果。本文研究也充分支持该类财政补贴政策的合理性。
索比光伏网 https://news.solarbe.com/201510/16/182623.html

