对于建成投运的大型光伏电站,电站的运维是其高效安全运行的基础。为了保证光伏电站的系统效率,提高电站发电量,应该针对电站的环境和气候条件制定合理的运维方案。
1、系统效率的影响因素
光伏电站的系统效率是衡量系统运行情况的最直接的标准,在太阳辐照资源确定的情况下,系统效率决定了一个光伏电站的发电量。在进行光伏电站设计时,都要对光伏电站的年发电量进行仿真模拟,对应确定一个合理的系统效率,作为后期运行维护的参考标准。并网光伏发电系统的总效率由太阳电池阵列的效率、逆变器的效率、交流并网效率三部分组成。
太阳电池阵列效率η1,太阳电池阵列在太阳辐射强度下,实际的直流输出功率与理论功率之比。太阳电池阵列在能量转换与传输过程中的损耗主要包括:组件匹配损失、表面尘埃遮挡损失、光谱失配损失、温度的影响以及直流线路损失等。
逆变器转换效率η2,逆变器输出的交流电功率与直流输入功率之比。其中损耗主要包括逆变器转换损失、最大功率点跟踪(MPPT)精度损失等。
并网效率η3,即从逆变器输出经10kV升压然后并入35kV或110kV变电站的传输效率,其中损耗主要的是升压变压器的效率损失和交流电气连接的线路损耗。
综上,光伏电站系统的总效率为η=η1*η2*η3,在电站设计阶段,可以通过光伏阵列布局优化、组件电流分档等措施减少损耗,提高系统效率,在关键设备选型时,对组件和逆变器的性能进行严格管控,可以提高光伏电站的可靠稳定性。
在光伏电站的运营阶段,制定经济合理的的运维方案,保证电站安全可靠性,提高电站的发电量。首先应对电站设备的运行状态进行实时监控,进行日常的巡检,消除安全隐患,保证关键设备的正常高效运行;其次还应对光伏电站的发电数据进行统计分析,针对环境和气候条件,找到影响发电量的主要因素,制定合理的方案,减少损耗。对于太阳辐照资源和环境温度,没有办法进行改善提高,只能做好记录,用以对光伏电站的系统效率的分析验证。对于中国西北地区的光伏电站,灰尘遮蔽是影响发电量的重要因素,西北地区干旱缺水,风沙很大,组件受到灰尘遮蔽的情况严重,如图1所示。灰尘遮蔽会减少组件接收的光辐照量,影响系统效率,降低发电量;局部遮蔽会引起热斑效应,造成发电量损失,影响组件的寿命,同时造成安全隐患。
光伏电站组件受灰尘遮蔽情况.jpg" alt="" />
图1 光伏电站组件受灰尘遮蔽情况
2、灰尘遮蔽对组件的功率影响的分析
灰尘遮蔽会减弱组件接收的太阳辐照强度,同时会造成太阳辐照的不均匀性,都会影响组件的输出功率。
2.1 光辐照强度的影响
组件的短路电流正比于入射光强,即
,组件的开路电压与短路电流的关系为:
,其中n是二极管的品质因子,k是波尔兹曼常熟,T是开尔文温度,q是电子电量,Io是二极管的反向饱和电流。综上组件的电流正比于光辐照强度,电压与光辐照强度成对数关系。
图2 不同辐照强度下组件的I-V和功率曲线
组件在不同辐照强度下的I-V曲线和功率曲线如图2所示,从图中可以看到组件的开路电压在光辐照强度大于400W/m2时变化很小,短路电流与光辐照强度成线性变化。当光辐照强度大于400W/m2时,组件最大输出功率点的电压基本相同,可以推知组件的效率基本不变,光辐照强度200W/m2时,最大工作点的电压变小,则组件的效率降低。
表1 不同辐照强度下组件的效率
表1列出了国内三个组件厂家在第三方实验室进行不同辐照强度下的效率测试结果,可以看到当辐照强度大于400W/m2时,组件的效率变化很小,在辐照强度为200W/m2时,组件的效率有比较明显的下降。
2.2 光辐照均匀性的影响
由于灰尘的遮蔽不均匀性,在降低辐照强度的同时,也会引起辐照强度的不均匀性,这会导致电池片的电流失配,会降低组件的输出功率,辐照均匀性对组件I-V曲线影响如图3所示,可以看到随着光辐照不均匀性增大,组件的输出功率会降低。
图3 光辐照均匀性对组件I-V曲线的影响
3、组件清洗方案的经济性分析
根据前面的分析,灰尘遮蔽会严重影响组件的输出功率,进而会减少电站的发电量。为了减少灰尘遮蔽的影响,可以对组件进行定期清洗。应该结合光伏电站的环境和气候特点、预测发电量和清洗费用,制定经济性最佳的清洗方案,即清洗组件带来的发电量增益与清洗组件的费用相比收益最高。下面以青海锡铁山项目为例进行分析说明如何确定灰尘遮挡的最佳容忍度。
灰尘遮挡对发电量损失与预测发电量有关,不同电站、不同月份的灰尘遮挡的最佳容忍值也会不同,根据可研报告中的太阳辐照数据,锡铁山100MWp光伏电站一年中各个月份的预测发电量如表2所示。
光伏电站预测发电量.jpg" alt="" />
表2 青海锡铁山100MWp光伏电站预测发电量
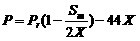
现在通过简单的建模对考虑灰尘遮蔽影响的发电量进行计算。对于灰尘的沉积速度,我们引入月遮蔽率Sm的概念,即一个月的时间灰尘沉积对太阳辐照强度的影响比率,若该月的理论预测发电量为Pr,每月清洗次数X,简单起见假设遮蔽率是线性变化,则实际月发电量为:
………………………………………………………..(1)
通过对上式进行微分,可以求出其最大的极值,即发电量最大,是光伏电站最佳的运行状态。从上式可以看到,不同月份的灰尘遮蔽的最佳容忍值与电站的发电量、电站灰尘的沉积速度和组件清洗成本等因素有关,电站的理论月发电量可以参考表2中的预测发电量,目前组件的清洗成本约1元/块,锡铁山100MWp光伏电站清洗一次的成本约44万元,则对于不同的月遮蔽率Sm可以确定最大发电量,同时可以确定每月遮蔽最佳容忍值Sp,表3给出了在不同月份不同遮蔽率对应的尘遮蔽的最佳容忍值。从表3可以看到,不同的月遮蔽率对应的遮蔽最佳容忍值Sp变化较大;由于固定支架对应的各个月份的发电量差异不大,因此绝大多数月份的最佳容忍遮蔽率基本相同;另外由于清洗费用比较高,所以导致灰尘遮蔽的最佳容忍值较高,应寻求降低清洗成本和方法,进一步提高发电量。在实际运维中,首先要前期调研和运行初期的数据统计分析,对电站的灰尘遮蔽情况进行详细的评估,同时结合组件清洗所需的时间确定最佳的组件清洗计划,以提高发电量。

表3 不同月份不同月遮蔽率对应的遮蔽最佳容忍值
4、组件遮蔽情况的判定方法
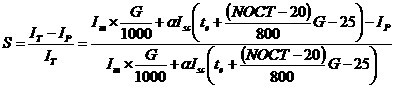
在前一节我们已经给出了在不同条件对应的灰尘遮蔽的最佳容忍值,在实际情况中我们应该如何对组件的遮蔽情况进行判别呢,根据前面的分析,组串的电流与太阳辐照强度成线性正比,可以通过电流来评估组件的遮蔽情况。我们可以通过监测组件的电流、实时的辐照强度和环境温度,将监测电流换算到标准条件下的电流,然后与标准条件下的标称电流进行对比,即可得到灰尘遮蔽的情况,判别公式如下所示:
……………….(2)
其中S是组件的遮蔽率,IT是组件在实际工作条件下的理想电流,Ip是实际工作电流,Im是组件在标称条件下最佳工作电流,G是实际光辐照强度,α是短路电流温度系数,Isc是组件在标称条件下短路电流,NOCT是组件的名义工作温度,te是环境温度。
为了保证结果的准确性,应选取辐照强度不小于600W/m2的电流进行比较分析,还应该选取不同方阵中多个组串(例如随机选取5个方阵各取5串)的电流进行对比分析。为了保证判别的准确性和实效性,可以将实时太阳辐照强度、环境温度和组串电流统一采集至监控后台,根据换算公式和遮蔽最佳容忍值编制简单的程序,对组件的遮蔽情况进行实时监测分析,并在达到遮蔽最佳容忍值时进行报警提示。
5、总结
灰尘遮蔽对中国西北地区的光伏电站有较大影响,灰尘遮蔽会减弱光辐照强度,降低组件的发电量,同时局部灰尘遮蔽可能会导致热斑效应,损失发电量的同时会造成安全隐患。在光伏电站的运维过程中,应根据光伏电站的预测发电量、电站场址的灰尘沉积速度和组件清洗成本确定最佳的灰尘遮蔽容忍值,以此经济性最佳的清洗方案,提高电站的发电量。对于组件的清洗方法和要求,请参照技术部门提供的组件清洁维护技术规范书,需要特别强调的一定要避免组件局部清洗不净。另外由于目前清洗成本较高,使得最佳遮蔽容忍值较高,因此寻求与专业化的清洗公司合作,降低清洗成本和风险,是目前提高发电量的重要方向。
作者简介:陈艳 (1979—),女,北京市西城区人,2006年毕业于西安交通大学控制理论与控制工程专业,硕士,中级工程师,现于中冶京诚工程技术有限公司,任职电气工程师,主要从是钢铁厂配电系统设计、光伏电站电气设计等工作。
索比光伏网 https://news.solarbe.com/201306/18/233232.html

