
论文概览
针对钙钛矿太阳能电池(PSCs)埋底界面处载流子传输与非辐射复合损失的关键问题,成都理工大学等单位的研究团队创新性地筛选出一系列二磷酸路易斯碱分子,提出采用N,N-双(二苯基膦)胺(N-DPPM) 作为界面功能分子,调控钙钛矿沿(100)/(200)低米勒指数晶面择优生长。N-DPPM凭借适中烷基链长度(n=1)与多重活性位点,不仅可与欠配位Pb²⁺配位、通过N–H键与FA⁺作用,还能显著提升异质界面能(γ_HI)、降低晶界能(γ_GB),从而平坦化晶界沟槽、减少纳米级物理空隙、释放残余应力。基于该策略,窄带隙(1.55 eV)、大面积(0.5 cm²)和宽带隙(1.73 eV)倒置PSCs分别实现了26.80%、26.18%和20.59% 的优异光电转换效率,且未封装器件在长期存储、热老化和光浸泡条件下表现出卓越稳定性。
技术亮点
多重钝化机制:N-DPPM的双P单元配位Pb²⁺,–NH基团与FA⁺形成氢键,协同钝化界面缺陷。
低指数晶面诱导:N-DPPM促使钙钛矿沿(100)/(200)晶面取向生长,降低晶面能,提升结晶质量。
晶界沟槽平坦化:低指数晶面使γ_HI提升近2倍、γ_GB降低约一半,显著平坦化晶界沟槽,减少物理空隙。
载流子传输优化:N-DPPM处理提升空穴迁移率,优化能带对齐,加速载流子提取,抑制非辐射复合。
研究意义
✅ 突破效率瓶颈:窄带隙器件效率达26.80%,大面积与宽带隙器件同步提升,推动PSCs迈向产业化。
✅ 创新晶界调控理论:首次将低指数晶面与晶界沟槽几何关联,为微结构工程提供新视角。
✅ 提升器件稳定性:未封装器件在1200小时存储、热老化及MPP跟踪下仍保持90%以上初始效率。
✅ 普适性策略验证:适用于不同带隙、不同面积的器件结构,展示强工艺兼容性与应用潜力。
深度精度

图1系统展示了N-DPPM分子在钙钛矿界面的多重作用机制。通过原子结构示意图(图1a)可见N-DPPM的双P活性位点与-NH基团协同作用,其吸附能(Eads)比DPP等分子高30%以上(图1b),霍尔效应测试显示其空穴迁移率达3.89×10^-2 cm² V^-1 s^-1(图1c)。静电势分布(图1d)和XPS/Pb 4f谱(图1g)证实N-DPPM与Pb²⁺的强配位作用,FT-IR(图1h)和¹H NMR(图1i)则揭示其通过N···H键与FA⁺的独特相互作用,这种"双锁"机制使缺陷形成能提升2倍(图1f),为后续晶面调控奠定基础。

图2通过原位UV-vis光谱动态解析了结晶调控过程。二维等高线图(图2a-c)显示N-DPPM处理使成核阶段吸光度提升50%,而退火过程中吸光度上升速率降低40%(图2d-f),这种"快成核-慢生长"特性源于FA⁺···N-DPPM···Pb²⁺相互作用需要额外能量打破,导致δ→α相变时间延迟15分钟,为(100)晶面取向生长创造了动力学窗口。

图3揭示了低米勒指数晶面的择优取向机制。DFT计算显示(100)/(200)晶面能低至0.289 eV nm^-2(图3a),XRD(图3b-c)和GIWAXS(图3g-i)证实N-DPPM处理使(100)衍射环强度提升3倍,取向度达45.8%。高分辨TEM(图3d-f)观察到3.2 Å晶格条纹与N-DPPM分子3.11 Å间距完美匹配,这种"分子尺子"效应引导晶体沿低能晶面生长,使残余应力从62.77 MPa降至9.36 MPa。

图4展示了晶界沟槽平坦化的微观结构演变。SEM(图4a-c)显示N-DPPM处理使晶粒尺寸增大2倍,AFM三维图像(图4d-f)测得晶界角从151.6°增至172.4%,粗糙度降低64%。机理示意图(图4g)阐明γGB*/γHI*比值优化使物理孔洞减少,接触角测试证实异质界面能提升130%(0.289 vs 0.125 eV nm^-2),而晶界能降低38%(图4h),GIXRD分析(图4i)显示应变释放效率达85%。

图5呈现了器件性能的全面提升。TPC测试(图5a)显示N-DPPM器件电荷传输时间缩短60%,Mott-Schottky曲线(图5b)测得内建电势提升23%(1.15 V)。冠军器件(图5e)效率达26.80%,HEI仅2.2%,EQE积分电流25.53 mA cm^-2(图5f)。大面积(0.5 cm²)和宽禁带(1.73 eV)器件分别实现26.18%和20.59%效率(图5h-i),40个器件统计(图5g)显示Voc提升34 meV,FF达86.19%,验证了策略的普适性。

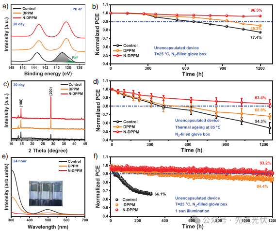
图6证明了卓越的稳定性表现。XPS(图6a)显示对照组20天后出现Pb0峰,而N-DPPM样品保持稳定;未封装器件在N₂中1200小时效率保持96.5%(图6b),85℃热老化后剩余83.4%(图6d)。光照稳定性测试(图6e)显示碘析出量减少70%,MPP追踪(图6f)1200小时后仍保持93.2%效率,这种"三位一体"的稳定性源于平坦化晶界阻隔水氧渗透、强化学键抑制离子迁移以及低缺陷密度延缓相分离。
结论展望
本研究通过N-DPPM分子设计,成功诱导钙钛矿沿低米勒指数晶面取向生长,实现晶界沟槽平坦化与缺陷高效钝化,显著提升器件效率与稳定性。该策略为钙钛矿界面工程与微结构调控提供了新思路,有望推动PSCs在高效、稳定、大面积制备方向的商业化进程。
文献来源
Zhou, J., Chen, Y., Shen, Y. et al. Tailoring Low-Miller-Index Crystal Facets Realizes Perovskite Solar Cells with Flat Grain-boundary Grooves. Angew. Chem. Int. Ed. 2025, e20251042.
https://doi.org/10.1002/anie.20251042
仅用于学术分享,如有侵权,请联系删除
索比光伏网 https://news.solarbe.com/202508/21/50006600.html

