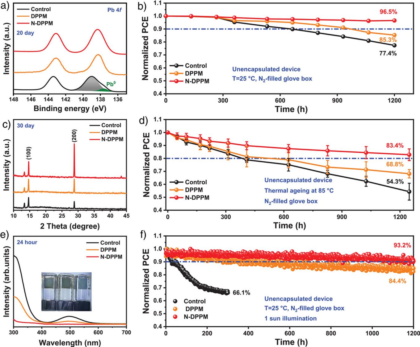
埋底界面的电荷传输与非辐射复合损失是制约钙钛矿太阳能电池(PSCs)效率和稳定性的关键因素。本研究筛选了一系列二磷酸酯路易斯碱分子,发现具有适宜烷基链和多重活性位点的N,N-双(二苯基膦)胺(N-DPPM)不仅能有效促进载流子传输,还可通过与欠配位Pb²⁺的配位作用及N⋯H氢键与FA⁺相互作用。这些特性促使钙钛矿沿(100)/(200)晶面形成高质量薄膜。值得注意的是,这些择优取向的低米勒指数晶面使异质界面能提升约两倍、晶界能降低两倍,从而平整化晶界沟槽,减少纳米级物理空隙并释放残余应力。最终,窄带隙(1.55 eV)、大面积(0.5 cm²)和宽带隙(1.73 eV)倒置器件的冠军效率分别达到26.80%、26.18%和20.59%。未封装器件在长期存储、热老化及光浸泡后均表现出卓越的稳定性。






器件制备
钙钛矿前驱体溶液的制备
(1)窄带隙(1.55 eV)钙钛矿:将PbI2、FAI、MAI、PbCl2和CsI按化学计量比Cs0.05MA0.05FA0.90PbI3溶解于DMF:DMSO(体积比4:1)混合溶剂中,配制1.6 M前驱体溶液,持续搅拌3小时后经0.22 μm针头过滤器过滤备用。
(2)宽带隙(1.73 eV)钙钛矿:将PbI2、PbBr2、FAI、FABr、PbCl2和CsI按化学计量比Cs0.2FA0.8Pb(Br0.3I0.7)3溶解于DMF:DMSO(体积比4:1)混合溶剂中,配制1.5 M前驱体溶液,持续搅拌3小时后经0.22 μm针头过滤器过滤备用。
器件制备流程
FTO导电玻璃依次经洗涤剂-去离子水溶液超声清洗20分钟,氮气吹干后紫外臭氧处理15分钟。在FTO基底上以2000 rpm转速旋涂NiOx水溶液(10 mg mL⁻¹)30秒,100℃空气环境中退火20分钟。随后以3000 rpm转速旋涂Me-4PACz乙醇溶液(0.5 mg mL⁻¹)30秒,100℃退火10分钟。将不同材料(DPP、DPPM、DPPE、DPPP和N-DPPM)分别配制成0.5 mg mL⁻¹乙醇溶液。对于N-DPPM处理器件,取50 μL N-DPPM溶液以6000 rpm动态旋涂25秒,100℃退火5分钟。随后分两步旋涂钙钛矿溶液:1000 rpm初始转速8秒,4000 rpm二次转速25秒,在第二步最后5秒时滴加120 μL苯甲醚作为反溶剂诱导结晶。钙钛矿薄膜110℃退火20分钟后,旋涂PDAI2异丙醇溶液(1 mg mL⁻¹)并在100℃退火10分钟。最后通过热蒸发依次沉积25 nm C60电子传输层、6 nm BCP缓冲层和110 nm银电极。
原文:https://doi.org/10.1002/ange.202511042
索比光伏网 https://news.solarbe.com/202508/20/50006512.html

