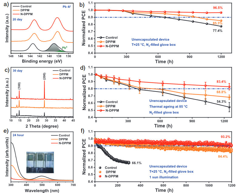
埋底界面处的电荷传输和非辐射复合损失是限制钙钛矿太阳能电池(PSCs)效率和稳定性的关键因素。本文成都理工大学陈雨和彭强等人筛选了一系列二磷酸路易斯碱分子,发现具有合适烷基链和多个活性位点的N,N-双(二苯基膦)胺(N-DPPM)不仅能有效促进载流子传输,还能与未配位的Pb²⁺配位,并通过N→H键与FA⁺相互作用。这些特性促使钙钛矿薄膜沿(100)/(200)晶面高质量生长。有趣的是,这些取向的低米勒指数晶面使异质界面能提升近一倍,晶界能降低一半,从而平坦化晶界沟槽,减少纳米级物理空隙并释放残余应力。最终,冠军倒置PSCs在窄带隙(1.55 eV)、大面积(0.5 cm²)和宽带隙(1.73 eV)器件中分别实现了26.80%、26.18%和20.59%的显著光电转换效率。同时,未封装的器件在长期储存、热老化或光照后表现出优异的稳定性。
文章亮点:
N-DPPM分子设计:通过引入具有合适烷基链长度(n=1)和多个活性位点(双P单元和–NH基团)的N-DPPM分子,实现对未配位Pb²⁺和FA⁺的双重钝化,显著提升界面质量和载流子传输效率。
晶面调控与晶界平坦化:N-DPPM诱导钙钛矿沿(100)/(200)低米勒指数晶面取向生长,显著提高异质界面能、降低晶界能,实现晶界沟槽的平坦化,减少缺陷和残余应力。
高效稳定器件性能:窄带隙、大面积和宽带隙器件均实现超过26%和20%的高效率,未封装器件在长期储存、热老化和MPP跟踪下保持90%以上初始效率,稳定性突出。






Tailoring Low-Miller-Index Crystal Facets Realizes Perovskite Solar Cells with Flat Grain-boundary Grooves
Jing Zhou, Yu Chen, Yang Shen, Yang Peng, Xing Wu, Zhuang Xie, Chuan Luo, Min Deng, Yuwei Duan, Yihui Wu, Qiang PengFirst published: 18 August 2025
https://doi.org/10.1002/ange.202511042
索比光伏网 https://news.solarbe.com/202508/20/50006472.html

