索比光伏网讯:截至2016年底,甘肃省新增光伏装机容量76万千瓦,累计装机容量686万千瓦。面对日益增长的光伏装机容量,“弃光”始终是新能源企业的待解难题。据西北能源监管局数据统计显示,2016年甘肃省弃光率为30.45%。
为了加大省内新能源消纳力度,解决新能源发电空间不足的问题,甘肃省曾多次开展新能源发电企业参与市场交易,交易形式主要有大用户直接交易、与自备电厂的置换交易、外送交易等。2016年全年新能源企业的总交易电量预计超过100亿千瓦时。
其中,新能源代替企业自备火电厂发电,即调峰替代交易,在自备电厂占比较高的西北受到了青睐。据了解,2015年甘肃有138家新能源企业与酒钢集团自备电厂完成调峰替代交易,交易电量6.5亿千瓦时;有85家新能源企业与中铝兰州分公司自备电厂完成调峰替代交易,交易电量6.3亿千瓦时。2016年,甘肃扩大了交易范围,中铝兰州分公司自备电厂、玉门油田分公司自备电厂共拿出20.3亿千瓦时电量,与新能源企业进行了交易。
这一措施在新能源消纳压力较大的省份基本上都有应用,在起到一定作用的同时,相关问题也渐渐“露出水面”。据相关数据显示,从2015年甘肃开展的两次“新能源发电企业替代自备电厂交易”中,由于新能源企业容量较大,弃风弃光严重,新能源企业只有一再降价,替代交易已成为自备电厂获取巨额利润的“唐僧肉”。
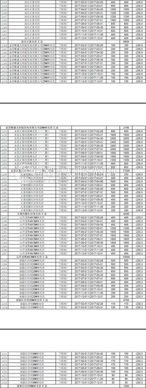
近日,2017年甘肃省新能源发电企业与中国铝业兰州分公司自备电厂电量置换交易结果出炉,本次交易以双边/集中撮合方式成交,新能源发电企业申报电量17.0992亿千瓦时,经调度安全校核后,共成交电量16.8874亿千瓦时。其中,含光伏企业100家左右,成交电价有0、-222.8、-230.3、-236.9、-237.8、-252.8、-257.8、-267.8、-280、-297、-297.8元/千千瓦时。
根据《2017年甘肃省新能源发电企业与中国铝业兰州分公司自备电厂电量置换交易市场公告》,关于交易电价,新能源发电企业的申报价格为相对政府批复电价的变量,正数表示涨价,负数表示降价,可以为0。可以看出,光伏企业大多数是以低于政府批复电价的价格参与的替代交易。
以下为光伏企业本次交易清单:
![]()



















![]()































索比光伏网 https://news.solarbe.com/201702/24/146432.html

