欧盟方面的原因
(一)欧盟经济低迷助推对华“双反”调查
近年来,欧盟受到金融危机与欧洲债务危机的双重打击,经济增长缓慢,同时政府财政赤字,失业率较高,通货膨胀上行趋势明显。2013年世界经济缓慢复苏,主要发达国家国内需求疲软。近年来,在金融危机和欧洲主权债务危机的影响下,欧洲的光伏产业发展失去了一定量的来自政府的财政支持,致使其在欧洲的发展受到了严重的影响,也进一步导致其在面对中国的光伏产品竞争时处于不利地位。
欧盟经济增长缓慢,需要国际贸易来提振内需。我国光伏产业在欧洲市场占据重要地位,无疑成为欧盟贸易保护的对象。国际贸易史上第一个对我国发起反倾销调查的经济体是欧盟,而且欧盟是对华产品发起反倾销措施最多的WTO成员之一,欧盟有完善的反倾销反补贴立法和调查程序,擅长使用反倾销救济措施来保护国内的相关产业。
战略层面上,欧盟为对我国太阳能光伏产品发起双反调查作为威肋、,希望从中欧投资协定、自贸区协定、政府采购等方面强迫中国开放更多地的国内市场。

此外,除了全球金融危机与欧债危机的背景外,由于光伏产业关系到国家能源安全,世界主要大国都将光伏产业视为战略性产业。
欧盟是国际反倾销反补贴的主要使用国。上世纪80年代欧盟发起387起反倾销与反补贴案件,90年代案件数升至416件,分别占同时期国际反倾销反补贴案的22%与14.9%,平均案件量增长7.5%n。可见,欧盟是反倾销反补贴措施的传统使用国,在贸易保护实践中建立了健全完善的反倾销反补贴相关法律法规,在我国贸易史上欧盟首次对华发起反倾销调查。
(二)欧盟部分成员国维护其在光伏产业传统优势的需要
随着贸易自由化和经济全球化浪潮的兴起,世界经济出现了产业梯度转移,像欧美等发达国家的传统优势产业逐步向中国等亚非拉新兴发展中国家转移。由于我国在这些传统产业的低劳动成本和低原材料成本的优势,使欧盟在国际市场竞争中处于劣势地位,在我国产品大量涌入欧盟地区时本地传统产业受到很大冲击。
如欧盟地区的光伏产业是欧盟的传统产业,这个产业近年来由于我国的低成本销售受到很大的冲击。欧盟的劳动力成本明显比我国要高出很多,在与我国产品竞争的过程中,大量企业由于成本高而面临破产,但这两种产业在解决就业方面有巨大的贡献。
因此,光伏产业就业者往往对我国产品最具有反倾销倾向。在欧盟成员国中,像英、德、荷、丹等国家,光伏产业发展进入稳定期,在国际贸易中受到的冲击相对较小,而像意大利、葡萄牙以及以后来加入欧盟的保加利亚、罗马尼亚等国,光伏产业发展刚刚起步。这些对光伏产业还未形成规模产业的国家对中国进行反倾销反补贴调查的国家持肯定态度。
世界经济论坛与瑞士洛桑国际管理发展学院对国际竞争力的研究较为深入,结合上述机构的研究成果《全球竞争力报告》和《世界竞争力年鉴》,国际竞争力可以理解为:经济全球化背景下,一国在市场竞争中所具有的比其他国家具有更强的推动国民财富持续增长的能力与价值创造能力。
可见,产业竞争力包括三层含义,一是这种竞争力基于产业的,而不是企业或其他层面;二是该竞争力是“全球的”,需要从全球化的角度,在国际贸易方面为研究对象;第三,国际竞争力必须从绝对量和相对量两个角度分析,以满足“持续推动国民财富和价值创造”。
相应地,制造业竞争力可以分为绝对优势和相对优势。在竞争力指标评价体系中有绝对指标和相对指标,本文从相对优势指标的角度对中欧光伏制造业的竞争力进行比较。
显示性比较优势指数(RCA)指数可以描述为一个国家或地区特定产品的出口额在该国总出口额中的占比与该产品的世界出口总额占所有产品的世界出口额的份额的比率。用公式表示为:

其中,Ej,Ei,Wj,Wi分别表示一国J商品的出口额一国商品出口总值、世界J商品的出口额和世界商品出口总值。日本贸易振兴协会对显示性比较优势指数分为五类,即RCA>1,RCA>2.5,1.25<RCA<2.5,0.8<RCA<1.25,RCA<0.8。总体来说,数值越大,比较优势越明显。下表反映了中国在光伏产品出口方面的竞争力。

根据日本贸易振兴会划分的评价标准,可以看出,中国在光伏出口方面具有极强的竞争力,RCA指数均远远大于2,这从另一个侧面反映出中国光伏产品在欧盟市场上竞争力较强,给欧盟各国光伏产业的发展带来了威胁,欧盟对此发起“双反”调查。
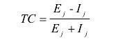
贸易竞争指数(TC)又称贸易专业化系数,用来衡量一个国的特定产品在国际市场上相对竞争优势,计算公式表示为:

式中jE、jI分别代表特定商品j的出口值和进口值。其取值范围为(-1,1)如果TC指数为正,表明该国j商品具有较强的出口竞争力,该产业在国际竞争中也较强;反之,出口竞争力较弱,该产业的国际竞争力较弱;TC值越接近于1竞争力越强,越接近于一1竞争力越弱。下表3.3表明TC指数大部分均在一1左右,反映出我国光伏产业相对竞争力较弱,虽然显示性比较优势指数较高反映出我国光伏产品的竞争优势,然而,我国光伏产业“两头在外”不平衡的发展模式可以从TC指数中看出。

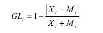
产业内贸易指数(Intra-industryTrade,简称IIT),简单来说就是一国同时进口和出口同类产品的贸易现象。衡量产业内贸易水平最具权威的是Grubel&Lloyd(1975)提出的G-L指数,公式表示为:

当iGL等于0时,表示产业i为完全的产业间贸易;当iGL等于1时,表示产业i为完全的产业内贸易。国内学者沈国兵(2007)认为,当GL指数在0-0.5之间表示产业内贸易程度低;在0.5-0.7之间表示产业内贸易程度中等;在0.7到1.0之间表示产业内贸易集中程度高。

从上图中看出,中欧之间在光伏产品方面具有较强的产业内贸易,产业链“两头在外”的特征明显。
金融危机后,欧美各国频繁对华发起反倾销与反补贴调查,并且表现出新的特点,即高涉案金额,涉案行业面广,逐步转向科技含量高的产品,表明了欧美各国对中国的贸易保护主义决心。欧委会认为欧盟对华光伏产品发起“双反”调查是单纯的经济问题,但国内外学者普遍认为中欧光伏“双反”案件反映了中欧之间激烈竞争的对象己经转向科技含量高的产品上,由于国情不同,关于反倾销反补贴的法律规定与程序上存在根本性的分歧,欧盟不断提高对华采取贸易壁垒,对中国与欧盟双方都会产生消极的影响。
全球光伏业,唯一可与欧洲抗衡的仅有中国,中国光伏的快速崛起让欧洲人感到吃惊,他们知道中国同行具有很多值得借鉴的经验。但更为重要的是,欧洲绝不甘心就此丧失了在光伏领域的引领地位和话语权。因此,有光伏专家认为,“双反”调查,包括未来制定的光伏发展规划,基本上都是以中国光伏为“假想敌”而展开的。


从以上图表中可以看出,欧洲是光伏产业的主要市场,然而中国光伏业在政府的大力支持与企业逐利目标下快速发展,成为除欧洲之外第二大市场。中国目前是世界光伏制造的中心。2012年中国的多晶硅产能为15.8万MT,占全球的43%,产量为6.9万MT,占全球32%;
光伏组件产能为37GW占全球的51%,产能为22GW,占全球的54%。纵观2012年全年的产业整合,导致比2011年组件制造产能下降25%,由49GW降至37GW,下降了25%。然而,无论国内还是全球供需关系来看,供过于求的状况难以在短时间内改变。
此外,我国光伏产品70%出口到欧盟各国,给欧盟相关产业造成了一种产业威胁。欧盟深受欧债危机的影响,国内经济低迷,因此对我国光伏产品发起“双反”调查。
中国光伏产业与世界主要国家光伏产业拥有共同的利益。欧盟在技术研发与装备制造业具有很强的优势,2011年欧盟对华光伏组件出口额为75亿美元,并且欧盟光伏产业进出口一直保持净出口。此外,从产业价值链视角分析,我国安装太阳能发电装置增加值每台约每瓦0.2-0.3美元,按照国际平均安装成本每瓦约2.5-3美元,整个装配过程在价值链中占8%-10%。
世界贸易组织前总干事拉米认为,一国40%的出口源于本国的进口,从价值链视角分析,贸易保护主义措施并不能有效维护本国的利益。中欧两国光伏产品之间的贸易属于同一产业链,欧盟减少从中国进口将损害欧洲消费者利益与阻碍相关产业的发展。
由于各国专业化分工不同,光伏产业具有明显的全球化特征,中欧光伏贸易为缓解欧盟高失业率起到了一定的作用。根据相关统计数据,当前欧盟光伏产业岗位约有28-30万左右,其中大多数就业机会源于中欧光伏贸易。
除此之外,光伏产业未来仍将继续深化,预计30%左右的甚至更多的光伏企业会因此倒闭,甚至上百万人失业。全球金融危机以来,世界经济缓慢复苏,甚至出现负的经济增长率,家顺应形势,对能源政策进行了相应调整,美国对华光伏产品发起反倾销反补贴调查,适度削减了政府补贴。
同时,一些国欧盟与此类贸易争端还会出现。贸易纠纷给两国带来的消极影响远远超过贸易保护带来的好处,对中欧来说是“双输”,尤其会相关产业带来不利影响。
二、中国方面的原因
光伏产业是我国新能源支柱产业,代表了我国装备制造业的发展水平。我国光伏产业产能迅速扩张,形成了规模经济,国际市场需求猛增,这与政府的支持与充足的资本密不可分。
国际金融危机与欧债危机席卷全球,欧盟受到双重打击,主要成员国纷纷削减政府补贴,欧盟内部光伏应用市场不断萎缩,为全球光伏业蒙上了一层阴影。我国光伏企业自身也存在非理性竞争、盲目建设与发展模式不平衡等问题,我国光伏企业面临潜在的威胁。
(一)中国光伏产品出口市场相对集中容易引致贸易保护
近年来,虽然我国光伏产品贸易进出口总额在逐年扩大,贸易伙伴国的数量和份额也在不断变化,但是我国的光伏产品出口主要集中在美、日、欧盟三大贸易伙伴上,而且对欧盟市场的依赖程度逐年上升。
2012年我国光伏产品出口总额为174.83亿美元,出口至欧盟、日本、美国的出口额分别为103.43、11.81、17.47亿美元,分别占59.16%、6.76%、10.0%。2011年我国光伏产品出口总额为279.46亿美元,出口至欧盟、日本、美国的出口额分别为193.38、6.42、28.86亿美元,分别占69.19%、2.30%、10.33%。从以上数据中可以看出,我国光伏产品出口市场主要集中在欧盟,市场份额占一半以上,如此集中的出口市场难免造成欧盟对我国光伏产品发起“双反”贸易救济措施。

我国光伏企业靠承接欧美市场对光伏产品的需求从事光伏产品的组装,属于劳动密集型产业。自2005年开始,我国光伏产业以欧美光伏产业发展为契机,大力发展太阳能光伏产品,同时带动了多晶硅产业的发展。我国光伏产品出口能力旺盛,在短时间内迅速拓展市场。
在不到十年时间里,中国光伏产业发展成为全球化程度极高、产业规模位列世界第三的新兴产业。
然而,我国光伏产品主要靠海外市场的需求,每年约95%光伏产品出口海外,其中电池组件70%多是销往欧洲市场的,从依赖程度看,有的企业高度依赖欧洲市场,达到了90%多,2011年我国光伏产品出口额约358亿美元,其中60%以上出口至欧洲大陆。
此外,由于国内光伏市场尚未大规模启动,产品主要外销,导致我国光伏产业对欧盟市场依赖程度深,易受到欧盟宏观经济的影响。我国光伏产业链最上端的原料硅提纯技术和最下端的光伏产品市场应用普及这两个最关键环节均国外。
由于核心技术缺失,我国光伏产业沦为海外廉价组件生产商,国内大多数光伏设备仍需高价从国外进口,加大了我国光伏产业链下游环节的开发利用成本。

从上图可以看出,我国光伏产品出口不断上升,2008年后,受到金融危机以及欧洲债务危机的影响,欧盟成员国德国、西班牙等减少对太阳能的需求,因此,我国光伏产品出口至欧盟大幅下降,并且出口波动频繁。数据显示,受欧美“双反”调查影响,2012年中国光伏产品对美欧出口量大幅下降,较2011年分别下降约30%和45%。
(二)受中国光伏产业产能过剩导致的低价倾销策略的影响
产能过剩是我国制造业长期存在的一个问题,这一现象在电力、煤炭、钢铁、水泥等传统产业和能源产业中尤为突出,究其原因主要是由于我国部分行业存在盲目投资、行业垄断和内需不足等情况。
2007年,我国各省市大力发展光伏产业,新建了100多个光伏产业发展基地,光伏产业的高利润率以及风险投资基金和银行融资介入导致该产业超常规发展,每年产能呈几何级数增长。例如,2011年全球光伏组件产能达到60GW,而实际产量为30GW,实际安装24GW;同年我国光伏组件产能为40GW,实际产能仅为21GW,国内实际安装500兆瓦。
这意味着光伏组件的产能利用率仅为50%左右,我国光伏产能明显过剩。我国光伏企业盲目扩张,再加上来自各级政府的补贴以及各种形式的优惠政策,导致我国光伏产品出口价格低,欧盟对我国光伏产品发起“双反”调查在一定程度上可以理解。
光伏产业作为我国战略新兴产业受到一系列政府政策支持。国家对光伏发电项目给予50%或以上的投资补贴,并给予5大光伏民营企业(尚德、赛维、英利、天威、天合)国际贷款支持。通过财政补贴,政府引导社会资金等方式鼓励建光伏电站。通过行业兼并整合和税收优惠措施集中扶持骨干光伏企业。

2006-2010年,我国太阳能电池产量年均增长率达到100%,2007-2010年连续四年太阳能电池产量遥遥领先于其他国家,2010年我国光伏电池产量占全球总产量的50%。
(三)中国光伏企业无序竞争及应诉能力差诱发欧盟对华“双反”
我国有的光伏出口企业无序竞争,对国际光伏市场行情了解不足,不能及时调整市场战略。此外,在对国际市场不了解的情况下盲目建设,产品一旦在国外市场畅销,企业便一跃而起,竞相出口,甚至压低价格。
这种行为容易引起了国外相关竞争行业的反感,甚至导致会引起不必要的贸易争端。如果国外对华展开贸易救济措施,涉案企业应该积极应诉,用法律手段维护自身的合法权益。我国企业观念上认识不足,维权意识薄弱,面对国外的指控时,消极应诉或存在搭便车的心理,致使遭受严厉的反倾销反补贴制裁。
欧盟对华发起的各类案件中,约四分之一的案件放弃应诉。这种严重的不作为的行为使欧盟趁虚而入,无形中提高了欧盟诉讼的成功率,客观上纵容了国外对华发起反倾销反补贴。根据欧委会相关规定,如果涉案企业不积极应诉,在判断倾销幅度时将按照申诉方的主张进行裁决,涉案企业的不作为会助长国外随意对华发起反倾销反补贴救济措施。
据瑞士巴塞尔预测研究所估计,若欧委会对中国光伏产品征收反倾销税税率达60%,则3年内因中国产品退出引发的光伏产品价格上升、需求下降及欧洲上游供货企业受损,将导致欧盟失去近24.2万就业岗位,损失270亿美元“附加值”。
美国智库学者与美国太阳能行业协会曾多次警告,许多美国太阳能制造商依赖于全球光伏供应链,美国征收“双反,,关税的作法也会损害美国太阳能产业下游企业的利益,意味着到2014年将有6万多名美国人失业。
欧盟与美国相继对我国光伏产品发起“双反”调查,我国光伏支柱企业面临困境。根据天合光能2012年财务报告显示净亏损了2.6亿美元。面对欧美对我国光伏产品发起“双反”调查,支柱企业与中小企业普遍性亏损,预计将有90%的企业面临停产的困境,一旦停产,企业现金流量受到影响,银行贷款回收面临风险等一系列社会问题。
此外,我国前10家最大的光伏企业累计债务达到175亿美元,资产负债率约60%左右,光伏行业约有万亿资金存在风险。因此,在面对欧盟反倾销反补贴调查时,我国企业应该积极应诉,避免更大的损失。
三、国际贸易环境方面的影响
(一)全球贸易保护主义抬头助推欧盟对华“双反”
近年来,全球贸易与投资自由化步伐加快,各大经济体之间积极签订自贸协定,受到全球金融危机的深刻影响,主要发达国家经济增长缓慢,试图通过重振本国制造业为经济增长注入活力,通过国际贸易增加外部市场需求,短期内贸易保护趋势与贸易壁垒不容忽视。
据全球贸易预警(Global Trade alert)统计,2008年以来,世界各国共实施了约300项贸易保护措施。
在贸易保护主义形势严峻的背景下,中国一直以来都是遭受贸易摩擦最多的国家。截止到2012年9月,共有17个国家或地区对我国发起贸易救济措施63例,与去年同期相比增长10.5%。贸易救济措施传统使用国不断加强贸易保护,降低立案标准,修改反倾销反补贴调查取证相关规则,肯定性终裁结案税率高。
不仅发达国家对我国采取贸易保护的态度,发展中国家针对我国的贸易摩擦呈上升趋势,截止2012年9月发展中国家对我国发起的贸易救济案件超过发达国家,成为国际贸易中的新特点。
国际贸易相关理论认为,贸易救济措施与经济形势恶化程度呈正相关态势。中欧光伏贸易摩擦被认为是欧债危机持续蔓延的导火索。2014年初,随着欧美经济的温和复苏,来自这两大经济体的对华贸易救济有望减少。
然而,自2014年初以来,商务部网站子栏目“预警信息”项下便有31条信息更新,这些信息多是外国政府针对中国相关出口产品的贸易救济措施。商务部最新数据显示,2014年以来,美国共对中国发起两起“双反”调查,同时对五起涉华贸易摩擦案件复审作出了裁决,如此密集的贸易摩擦与欧美经济体经济复苏存在风险与不确定性有着密不可分的关系。
(二)国际分工与全球产业转移诱致欧盟对华“双反”
1、中欧贸易逆差扩大是欧盟对华发起“双反”的重要原因
1978年中欧建交以来,双方贸易规模不断扩大,政治、经济与文化交流日益加深。自2006年起,欧盟第一大进口国和第二大贸易伙伴由中国取代美国。自2002年起,中国对欧出口高速增长(2009年有所下降),2011年出口至欧盟约3560.1亿美元,欧盟占我国出口贸易总值的巧%以上。
中欧经贸关系的不断深化发展,贸易逆差也逐渐扩大。2002年贸易逆差96.7亿美元,2008年为1601.8亿美元,平均贸易逆差约1200亿美元。中国是欧盟贸易逆差最大来源国,只要欧盟对华贸易处于赤字水平,无疑会引起欧盟的反感。欧盟为了平衡贸易赤字,对中国产品进入欧盟市场加以限制,与征收关税相比,发起反倾销反补贴贸易救济措施成为最优选择。
有些学者认为中欧贸易增长以及逆差的不断扩大必然导致欧盟密集地对华发起“双反”诉讼。Prusa(2005)指出,贸易的增长是反倾销数量增长的主要原因。中国对欧盟出口的快速增长与贸易顺差对欧盟贸易账户平衡造成冲击,导致欧盟贸易保护主义不断加强,通过发起反倾销反补贴手段限制进口,试图减少贸易赤字。
(三)WTO规则的模糊性为欧盟对华“双反”提供便利
wTo对实施“双反”措施的规定十分模糊,它既没有否定“双反”措施的实施,也没有支持实施“双反”措施。世贸组织针对倾销与反倾销行为和补贴与反补贴行为有分别进行立法规定,但针对同一产品能否同时适用“双反”措施,GATT1994第6条第5款规定“对于从任何缔约方领土出口到任何其他缔约方领土的产品,不得被同时征收反倾销税和反补贴税以抵消倾销和出口补贴所造成的同一结果。”根据这项条款可以看到,实施“双反”措施的依据就在于倾销与补贴行为是否造成同一结果。
我们都知道倾销和补贴一个属于企业在进口国市场上单独实施的行为,另一个是出口国政府行为,二者有不同的性质,当企业的倾销行为和政府的补贴行为同时作用于出口商品上,那么有时仅仅对涉案产品征收反倾销或反补贴税就不足以弥补国内产业所造成的损害。
此外,“双反”措施具有启动程序简单、实施成本低、效率高的特点。申请方只有提交符合规定就可以启动调查程序,申请门槛低,且对申请方适用较低的证据标准。同时,“双反”措施还具有效率高的特点,进行调查时间短,在做出正式的裁决之前,可以采取临时的措施,有效地保护本国的工业。
索比光伏网 https://news.solarbe.com/201512/21/178003.html

