在目前的光伏电站中,进行了组串逆变器和集中逆变器方案的发电量对比,常常容易出现组串逆变器发电量略高于集中逆变器的情况,但其中有一些误区存在。请看以下对话:
王总(光伏电站投资人):我的组串型逆变器方案比集中型方案这个月多发了1%的电,这样10年下来,可以多赚好多钱呀!太好了,李工,请在将来项目中全部采用组串逆变器。
李工(光伏电站EPC总工程师):王总,您搞错了吧,我们看到的发电量都是监控后台直接从逆变器读取的数据,这个数据并不等于我们电站送到电网赚钱的实际发电数据哦。由于组串型逆变器离变压器较远,交流线损较大,真正发到电网的电,很有可能是集中式的高呢。
王总:李工,你说的也有些道理,你给我分析一下,到底交流线缆损耗有多大。
李工:好的,王总,我先从技术角度给您分析下。

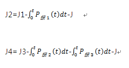
集中式与组串式方案系统结构如上图所示。其中J1、J3为逆变器上传到监控后台的发电量数据。数据采集点如图中红点所示,为逆变器交流输出端。P损为线缆瞬时功率损耗,根据线缆等效电阻和系统瞬时电流计算获得。通过对一段时间内对P损进行累加即可计算出损失的发电量。J2、J4为箱变高压侧发电量。对于光伏系统而言,35/0.48KV的双绕组变压器与35/0.315KV的双分裂变压器损耗基本一致,而箱变到升压站之间的35KV侧线缆损耗影响与逆变器无关,且该部分损耗对两种技术方案来说基本相同。因此,J2、J4才能较为真实的反应不同发电单元的发电量差异。J2、J4可由下式计算获得,其中J为箱式变压器损耗。

集中式逆变器由于逆变器靠近箱变,线缆短,损耗相对较小,组串型逆变器位置分散,距离箱变远,线缆损耗远大于集中式逆变器。下面以一个具体项目数据计算二者实际的差异。

注1:按照该电站实际平均每日发电量曲线,获取交流侧电流曲线,结合线缆参数,计算出1MW单元线缆平均每日损失的电量。
2:按照该电站实际平均每日发电量计算。
李工:因此,电站监控后台显示的发电量数据不能真实的反应不同逆变器方案的发电量差异。组串式逆变器由于交流线缆长,损耗的电量比集中式方案高1-2%左右。在通过监控后台显示的发电量衡量二者的差异时,需要减掉这部分差值。所以最终我们获得有价值的发电量集中式比组串式方案要高。
王总:哦,原来这么复杂啊,我只看到逆变器数据,差点被忽悠了呢。
李工:其实也不复杂,下面我给您更形象的解释下吧。从电池板发出的直流电到最终送到电网的过程,如同一个人爬山体力消耗的过程。


对于集中式逆变器方案而言,第一个过程直流侧要经过直流线缆、直流汇流箱及逆变器三座山,而组串型方案直流侧只经过直流线缆和逆变器两座山,所以在这个过程集中型方案消耗的体力多点,也就是说我们看到的逆变器上的数据组串型剩的多。但是在第二个过程,由于集中型方案交流侧的山只有线缆,而组串型还有汇流箱和线缆两座山,而且由于组串型逆变器位置分散,距离箱变远,因此爬山体力消耗远大于集中式逆变器。所以最后集中式剩余的体力大于组串式。这个最终剩余的体力才对我们最有价值。
王总:哦,这下我明白啦,就好像是一个比赛的过程,谁笑到最后谁笑的最好嘛!最后的结果才是我最关心的!
索比光伏网 https://news.solarbe.com/201501/22/201267.html

