2013、2014被称为光伏政策年,很多光伏补贴政策落地。所有的补贴政策,无外乎两种:一、初始投资补贴;二、度电补贴。
很多人都在讨论,哪种补贴更加划算。
光伏的经济性测算,必须要跟资源/发电量结合起来考虑。我做了个简单的测算,大家可以参考使用。
一、测算的理论与前提
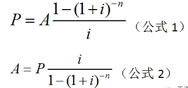
主要依据以下两个公式:
式中:P为初始投资补贴;A为每年可以获得的补贴;i为资金折现率。
计算时,边界条件做了如下假设。
二、测算的结果
1、初始投资补贴的换算
根据表1数据中计算可以获得,采用初始投资补贴,P=100万元;
利用公式2进行计算,获得A = 101852元
不同发电量情况下,要想获得相同的补贴,折算成度电补贴如下表。
以平均年满发小时数为1500h为例,解释上表中数字的意义。
当平均年满发小时数为1500h时,1MWp项目平均年发电量为150万kWh;如果这150万kWh的电,每度获得0.0679元的补贴,则每年将获得101852元的补贴,与获得1元/Wp的初始投资补贴,对项目收益影响是相当的。简单说,就是:
根据表2,业主可以结合自己项目所在省份的发电量情况、地方出台的初始投资补贴情况,大致折算一下与其相当的度电补贴额度。
2、度电补贴的换算
根据表1中数据计算可以获得,采用度电补贴,不同满发小时数下的A和利用公式1进行计算获得的P,如下表所示。
以平均年满发小时数为1500h为例,解释上表中数字的意义。
当平均年满发小时数为1500h时,1MWp项目平均年发电量为150万kWh;如果这150万kWh的电,每度获得0.1元的补贴,则相当于首先获得了147.27万元的补贴,即1.4727元/W。简单说,就是:
根据表3,业主可以结合自己项目所在省份的发电量情况、地方出台的度电补贴情况,大致折算一下与其相当的初始投资补贴额度。
通过表2、表3,业主可以将不同省份的补贴政策做一下简单的对比,看看到底哪个省的补贴力度最大。
3、两种补贴政策的对比
那国家现行的0.42元/kWh的补贴政策和原来的金太阳补贴政策,那个更划算呢?
根据2013年12月多部委联合下发的《关于清算2012年金太阳和光电建筑应用示范项目的通知》,“2014年6月30日(含)前完成并网发电的,补助标准按4元/瓦进行清算。”也就是,最新的金太阳补贴是4元/瓦。
从表3可以看出,如果业主的融资成本在8%以内,发电量在1000h以上,现在的度电补贴政策就比金太阳补贴划算。(当然,现在是很多业主融不到资,这个另说。)
三、小结
1、发电量越好的省份,用度电补贴越划算;发电量越差的省份,用初始投资补贴越划算。
2、如果业主能较好的控制融资成本,现行的度电补贴政策力度是大于当初的金太阳补贴政策的。
索比光伏网 https://news.solarbe.com/201412/22/203167.html
很多人都在讨论,哪种补贴更加划算。
光伏的经济性测算,必须要跟资源/发电量结合起来考虑。我做了个简单的测算,大家可以参考使用。

一、测算的理论与前提
主要依据以下两个公式:

式中:P为初始投资补贴;A为每年可以获得的补贴;i为资金折现率。
计算时,边界条件做了如下假设。

二、测算的结果
1、初始投资补贴的换算
根据表1数据中计算可以获得,采用初始投资补贴,P=100万元;
利用公式2进行计算,获得A = 101852元
不同发电量情况下,要想获得相同的补贴,折算成度电补贴如下表。

以平均年满发小时数为1500h为例,解释上表中数字的意义。
当平均年满发小时数为1500h时,1MWp项目平均年发电量为150万kWh;如果这150万kWh的电,每度获得0.0679元的补贴,则每年将获得101852元的补贴,与获得1元/Wp的初始投资补贴,对项目收益影响是相当的。简单说,就是:

根据表2,业主可以结合自己项目所在省份的发电量情况、地方出台的初始投资补贴情况,大致折算一下与其相当的度电补贴额度。
2、度电补贴的换算
根据表1中数据计算可以获得,采用度电补贴,不同满发小时数下的A和利用公式1进行计算获得的P,如下表所示。

以平均年满发小时数为1500h为例,解释上表中数字的意义。
当平均年满发小时数为1500h时,1MWp项目平均年发电量为150万kWh;如果这150万kWh的电,每度获得0.1元的补贴,则相当于首先获得了147.27万元的补贴,即1.4727元/W。简单说,就是:

根据表3,业主可以结合自己项目所在省份的发电量情况、地方出台的度电补贴情况,大致折算一下与其相当的初始投资补贴额度。
通过表2、表3,业主可以将不同省份的补贴政策做一下简单的对比,看看到底哪个省的补贴力度最大。
3、两种补贴政策的对比
那国家现行的0.42元/kWh的补贴政策和原来的金太阳补贴政策,那个更划算呢?

根据2013年12月多部委联合下发的《关于清算2012年金太阳和光电建筑应用示范项目的通知》,“2014年6月30日(含)前完成并网发电的,补助标准按4元/瓦进行清算。”也就是,最新的金太阳补贴是4元/瓦。
从表3可以看出,如果业主的融资成本在8%以内,发电量在1000h以上,现在的度电补贴政策就比金太阳补贴划算。(当然,现在是很多业主融不到资,这个另说。)
三、小结
1、发电量越好的省份,用度电补贴越划算;发电量越差的省份,用初始投资补贴越划算。
2、如果业主能较好的控制融资成本,现行的度电补贴政策力度是大于当初的金太阳补贴政策的。
索比光伏网 https://news.solarbe.com/201412/22/203167.html

