索比光伏网讯:在太阳电池制备中,扩散是一道重要工艺,其主要目的就是形成P-N结。对硅进行扩散的典型做法是将硅片置于高温石英管中(通常为800℃~1200℃范围),并通入含有待扩散元素的混合气体。在目前的太阳电池工艺中,通常采用已经掺杂了一定量的硼的P型硅片作为原料,在硅片的一面通过扩散磷来形成P-N结,采用三氯氧磷(POCl3)作为扩散源提供磷原子。常用的扩散方法为石英管中进行的闭管液态源(POCl3)方式的扩散。经过国内科研人员近几年的努力,目前国内厂家生产的扩散炉已达到或接近国际先进水平,性价比优势明显,占据了国内太阳能行业扩散炉的大部分市场。本章将着重介绍扩散制结设备的工作原理、结构、操作、维护及发展方向。
4.1扩散工艺的原理
扩散是一种由微粒的热运动所引起的物质输运过程,可以由一种或多种物质在气、液或固体的同一相内或不同相间进行。在固体中,扩散粒子可以是杂质原子或离子,也可以是基质原子(即为自扩散)。扩散主要由浓度梯度或温度梯度引起,而以前者较为常见,一般从浓度较高处向较低处扩散,直到相内各部分的浓度达到均匀或两相间的浓度达到平衡为止。扩散的驱动力实质是化学势梯度。
4.1.1有关扩散的物理基础
固体中扩散的微观机制即扩散机制可以概括为3种:填隙原子机制、空位机制、交换机制。不同情况下,扩散主要采取的机制是不一样的。实验表明,如果杂质原子的半径比基质原子小得多,则总是以填隙方式存在于晶体中,并依靠热涨落在间隙之间跳跃构成填隙式扩散,扩散系数较大。对于替代式原子(基质原子、替代式固溶体中的溶质原子),一般认为,最常见的是空位式扩散。交换式扩散涉及一些原子的合作运动,在一般情况下可能性很小。
空位机制指当杂质原子大小与硅原子大小差别不大,杂质原子沿着硅晶体内晶格空位跳跃前进扩散,杂质原子扩散时占据晶格格点的正常位置,不改变原来硅材料的晶体结构。硼、磷、砷等就是以此种方式在硅中进行扩散的。

图4.1空位机制
填隙原子机制指当杂质原子大小与硅原子大小差别较大,杂质原子进入硅晶体后,不占据晶格格点的正常位置,而是从一个硅原子间隙向另一个硅原子间隙逐次跳跃前进。硅中的镍、铁等重金属元素原子就是以填隙原子机制进行扩散的。

图4.2填隙原子机制示意图
扩散系数是描述杂质在被扩散物体(如待扩散硅片)中扩散快慢的一个参数,用字母
D表示,单位常用m2/s或cm2/s。D越大,扩散速率越快。
![]()
式中,D0为扩散常数,Q为摩尔扩散激活能(J/mol),R为摩尔气体常数(等于8.314J•mol-1•K-1),T为扩散的热力学温度。
关于扩散有两个重要的定律:菲克第一定律和菲克第二定律。菲克第一定律指稳态扩散时,单位时间内通过垂直于扩散方向的单位截面积的物质量(即扩散通量)与该物质
在该面积处的浓度梯度成正比。

式中,J为扩散通量,D为扩散系数,C为浓度,x为长度。
由于在工业生产中进行扩散时,浓度常常会随时间变化,菲克第二定律研究了非稳态扩散时,某点的浓度随扩散时间的变化关系。

式中,t为扩散时间,J为扩散通量,D为扩散系数,C为浓度,x为长度。
杂质原子的扩散分布与初始条件和边界条件有关,所以某一点某时间杂质浓度的求解,都是在一定的设定条件下进行的。有两个重要的假定条件:恒定表面浓度扩散与恒量源扩散(或称恒定表面浓度与恒定总杂质量)。
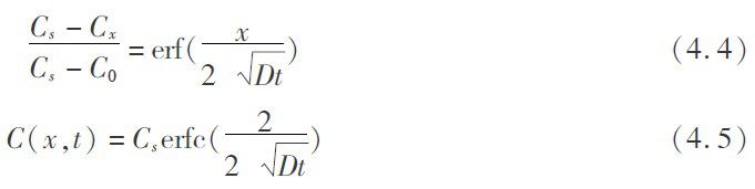
恒定表面浓度扩散是指待扩散的磷(假如进行扩磷)从源输送到硅片表面,并扩散到硅片内,假定磷的量足够多,由于磷在硅中的固溶度有限,所以在硅的表面,磷的浓度就是恒定的。假定扩散前的硅片中不含磷,那么就有以下杂质分布:

式中,t为扩散时间,x为某点离表面的距离,D为扩散系数,Cs为表面扩散源浓度,C0为物体的原始杂质浓度(假定扩散前的硅片中不存在磷,则C0数值为0),Cx为某点经过t时间扩散后的杂质浓度,erf(x)为误差函数(如表4.1所示),erfc(x)为余误差函数,有erfc(x)=1-erf(x)。

表4.1误差函数表
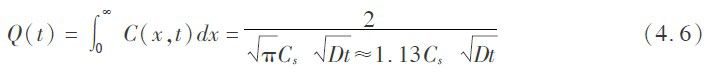
硅片中单位面积的杂质原子总量Q有:

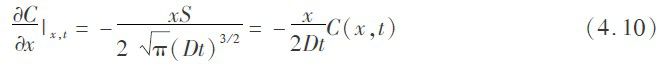
扩散分布的杂质浓度梯度可通过微分得到:

恒量源扩散是指固定总量的杂质先淀积在硅片表面,而后扩散进入硅片内。对于一般扩磷的工艺,就相当于磷源的量是恒定的,不会在工艺过程中补充磷源,即有∫∞0C(x,t)=dx=S,其中S为总的杂质磷的量。同样,假定扩散前的硅片中不含磷,则有以下杂质分布:

该分布为高斯分布。由于随着扩散时间增加,杂质会越来越深地进入硅片的内部,在恒量源情况下表面浓度会下降,关于表面的杂质浓度有:

进一步可以求得某时刻扩散分布的杂质浓度梯度:

目前,在太阳能行业的扩散工艺中通常采用恒定表面浓度扩散,即源过量;而集成电路工艺中通常采用的是两步法,恒定表面浓度条件下形成预淀积扩散层,然后在恒量源扩散条件下进行扩散,使不同深度的杂质浓度比较均匀。
4.1.2磷扩散中的主要化学反应
常用的太阳能行业的扩散工艺中,主要原料气体包括POCl3、O2、N2。其中POCl3作为扩散源(此处又可称磷源)提供磷原子,O2作为工作气体参与化学反应,N2用于携带扩散源POCl3。
当采用扩散源POCl3进行磷扩散时,将发生下列反应:
![]()
通过上一个反应,在硅片表面形成了磷硅玻璃P2O5,接着用硅取代磷从而将磷释放出来。
![]()
接下来磷扩散进入硅中,同时Cl2被排出。在扩磷的工艺过程中,其实是先通过液态源(POCl3)反应生成待扩散的磷,然后再进行磷的扩散。
其实POCl3与O2的反应是分两步进行的:

如果O2的量不足,就会存在产物PCl5,PCl5的存在会对硅片产生有害影响。所以实际生产中通常采用过量的O2来降低PCl5的影响,这也是反应(4.11)注明O2要过量的原因。
4.2扩散炉的结构、参数和关键性能
扩散工艺最早使用的是封管扩散,又称闭管扩散(如图4.3a)。这是把杂质源和硅片一起封入一个具有一定真空度的石英管中加热,使杂质元素扩散到硅中去。箱法扩散,又称半开管扩散(如图4.3b),是封管扩散的改进,采用一个石英或硅制成的带盖子的箱子,扩散时把硅片和杂质源一起放入箱内,盖上盖子送入扩散炉管中,炉管内的惰性气体起保护作用。封管扩散和箱法扩散所用的杂质源,都是易挥发的固态源,如元素镓和化合物BO、SbO等,硅片并不与杂质源接触,只是暴露在杂质源形成的气氛中。如果杂质源是气体或液体(如POCl3),则可用运载气体直接把气体或蒸气引入石英管内,通过气相杂质与硅表面反应而向硅片内扩散相应杂质(如图4.3c)。这时往往使用通气的开放性石英管,常称开管扩散。

图4.3扩散装置示意图
但是,关于扩散工艺或扩散装置的分类已经有些改变,目前一般根据尾气的排出方式,分为闭管扩散和开管扩散两种:从一端供气从另一端排出尾气的为开管扩散,其他的为闭管扩散。
4.2.1扩散炉的结构
以下以一种太阳电池用扩散炉的结构与操作工艺为例进行说明。该扩散炉的大口径加热炉体选用高品质炉丝以及耐高温保温材料,炉体使用寿命长,保温性能好。温控部分选用带有自整定PID调节系统、0.1级精度及具有多项保护功能的温控仪,因而控温精度高,温度稳定性好,升、降温响应速度快,同时可与计算机通讯实现升降温速率自动控制;送片系统采用丝杠、导轨副配以悬臂式推拉舟机构,可确保进出舟运行平稳,同时能有效地防止因摩擦而产生的粉尘污染。具有完善的安全保护措施,配备了超温、断偶、短路等报警装置。整机由计算机控制,各部分软、硬件连锁,工艺参数的设置及运行均可在触摸屏上直接进行,自动化程度高、操作简便、可靠性高。
扩散炉分为4大部分,总体结构见图4.4所示,从右到左为:控制部分、推舟净化部分、电阻加热炉部分、气源部分。外形尺寸(长×宽×高)约为6.8m×2.1m×3.0m,总重量约为2000kg。该扩散炉的炉体主体部分分为上、中、下三层,各装有一根石英管,三管可同时进行工作。
1.控制部分
整个控制柜有3层控制面板和1块前下面板,计算机控制部分分上层、中层、下层3个独立部分,分布对应扩散炉的上、中、下三管,控制其中的推舟、炉温及气源部分,是扩散炉的控制中心。
在每层的前面板上,左侧有15英寸触摸显示器,右侧有报警器、状态指示灯、控制开关以及急停开关等。在控制柜后面板上安装有2个RKC-CH402控温温控器和1个

图4.4扩散炉总体结构示意图
F400控温温控器,分别对应控制炉体的左、中、右三段温度(从炉体正面看)。另外还安装了3个CH402温控仪用于超温冗余保护,以确保在主控温控仪失效时炉温不至于失控。每层安装有1台工控计算机(IPC610P)、1块外置控制板卡(786固态继电器载板)。
打开工控计算机控制面板,可以看到工控计算机控制面板上装有电源开关、软驱插口、电源指示灯(POWER)、硬盘指示灯(H.D.D)、KB-LK指示灯、复位(RESET)按键、键盘锁(KB-LOCK)按键。

图4.5扩散炉的控制部分结构示意图
在控制柜的底层,安装有三管控制系统的推舟控制装置、保护电路、电路转接及控制板。前下面板上装有三相电源指示灯及照明、净化、抽风开关等。
2.推舟净化部分
推舟净化柜的顶部装有照明灯,正面是水平层流的高效过滤器及3层推舟的丝杠、导轨副传动系统以及碳化硅悬臂桨座;丝杠的右端安装有驱动步进电机,导轨的两端有限位开关及极限保护开关;在柜子顶部靠近炉子处有外径为100mm抽风口。
推舟净化柜的下部装有控制电路转接板和净化风机,净化柜前装有初级过滤器。
3.电阻加热炉部分
电阻加热炉柜共有5层。顶层的配置有水冷散热器及排热风扇,顶部设有外径为100mm的抽风口,与外接负压抽风管道连接后,可将工艺过程中产生的残余废气带走。
中部分3层,放置3个炉管,每层由两根方管支撑炉管,其位置与推舟送片机构———丝杠、导轨副调好对中。在炉管外壁的中部,安装有3个热电偶接线座,每座有2支热电偶,热偶Ⅰ用来控温,热偶Ⅱ为超温保护热电偶。3个控温热电偶分别连接控制柜上对应层的左、中、右温控器,3个超温保护热电偶连接到控制柜底层的温度保护器。
每管炉体的左侧设置有废气室,以排放工艺过程中产生的有毒有害气体。废气室里面均带有风门调节板,一般情况下从上至下,逐步加大风门板。炉柜的底层安装有三管加热炉的功率部件(可控硅、散热器、接触器、变压器、过零触发器等)以及电源总进线转接板。底部正面的门板内侧装有散热风机,用于对可控硅进行散热。
4.气源部分
气源柜分为4层。顶部设置有外径为Φ100mm的排毒口,用于排出在换源过程中以及管道泄漏的有害气体。柜顶设置有3路工艺气体的进气接口,接口以下安装有减压阀、截止阀,用于对进气压力进行控制及调节。各层分别装有对应于气路的电磁阀、单向阀、质量流量控制器及源瓶冷阱等。
气源柜的底部装有质量流量控制器电源、控制开关、保险丝等电路转接板。在源柜底板上安装有一个小变压器,用于进口冷阱。
4.2.2主要性能指标
使用扩散炉时须满足一定的环境要求:环境温度5℃~40℃;相对湿度<75%;海拔不超过2500m;电网电压波动不超过额定值±10%;环境洁净度不劣于1000级;有良好的抽风排毒系统,每管抽风量3000~5000L/min;无高频及较强的磁场干扰。
扩散炉的工作条件要求如下:供电方面要求使用50Hz的三相电,并须配备中线与地线,专用接地线的接地电阻≤3Ω,单台(3管)总功率≤100kW;供水方面要求使用4英寸管供自来水(水压0.1~0.3MPa)作为冷却用,另外制备去离子水用作清洗及工艺;供气方面需要使用N2、O2、压缩空气(若设备使用气动阀则需要使用压缩空气),进气压力为0.3~0.6MPa,气体纯度99.99%,气源柜、废气室、净化台及炉体柜顶部均应接入排毒、排气管道。
扩散炉的主要性能参数如下:(1)炉膛有效内径为Ф300mm(适用于6英寸方片、8英寸圆片);(2)温度控制范围为400℃~1100℃;(3)恒温区精度及长度为≤±1℃/800mm(801℃~1100℃)、≤±1.5℃/800mm(400℃~800℃);(4)单点温度稳定性为≤±1℃/4h;(5)升降温速率可控范围为爬升速率≤15℃/min、下降速率≤5℃/min;(6)具有超温、断偶、短路报警和保护功能;(7)具有自动斜率升降温及恒温功能;(8)采用碳化硅桨悬臂自动送片机构进行送片,舟速20~500mm/min连续可调,到位精度≤±10mm;(9)工艺过程由工控计算机全自动控制,可直接在触摸屏上操作,每管可存储100条工艺曲线。
4.2.3扩散炉的工作原理

图4.6系统控制原理示意图
以下简要介绍扩散炉的几个重要单元的结构和工作原理。
1.温控器
每管配置有3个温控器,温控器带有抑制超调功能和智能自整定PID调节系统,有多种信号输入方式,可方便地与炉体的控温热电偶组成温度控制系统,对炉体的恒温区实现精确控制。仪表窗口上方显示的是测量值,下方显示的是设定值。通过启动自整定功能,温控器能自动调整演算出一组最合理的PID控制参数。仪器各参数可手动输入,也可通过温控器提供的RS485通讯端口,与同样具有RS485通讯协议的计算机主机进行连接,计算机可通过指令自动设置并运行温度控制器的部分参数,所需的工艺参数可在触摸显示器上直接操作与显示。
2.推舟净化单元
净化单元由净化风机、初效过滤器、高效过滤器组成。启动风机,1000级的环境空气经过二级过滤器后,可获得洁净的100级水平层流净化区。一般在进出舟时,要求启动净化。这样,一方面可以为硅片进出提供高洁净区;另一方面可以将高温热气流驱散,以免灼热的气流将过滤器及净化台顶部烤焦。
推舟部分由导轨、丝杠、碳化硅悬臂桨固定座、石英炉门、不锈钢炉门及步进电机驱动系统等组成,用于在该局部高洁净区平稳地向反应管中推进、拉出工艺片。由于进、出舟的纯直线行程达1800mm,所以在运行中要求平、直、无抖动。推舟部分采用了直线导轨副配合丝杠副进行传动,直线导轨副与丝杠副在实际应用中处于平行线上,直线导轨副作导引,丝杠作传动,从而从结构上保证了固定其上的碳化硅悬臂桨及石英舟的平稳运行。
上述推舟系统的运动过程,均通过计算机进行控制,可在触摸显示器上的手动或程序自动进行。
3.加热炉
炉膛用Φ8mm电热线材绕制,其有效工作内径为Φ300mm,可放置外径为Φ280mm的石英工艺管。恒温区长800mm。炉口加有内凹台阶,并伸进炉体40mm,以防止炉内热焰直接作用于炉体端盖的不锈钢环使其氧化和变形。炉体采用主、从三段加热,分别控制。每段都设置有控制热电偶,对每段加热区进行自动控制。炉子用低压大电流供电,为了延长炉体的使用寿命,暂不用时可设置炉温为500℃~600℃自动保温,并设置好超温报警保护,以防不可预见的故障烧坏炉体。
4.功率部件
功率部件由特种变压器、空气开关、交流接触器、保险丝、可控硅等组合而成。温控器的输出信号输入到过零触发板上,产生脉冲触发功率部件中的可控硅,从而控制炉子每段的加热温度。功率变压器设置有2档工作电压,一开始设备接的是低电压的一档,当炉丝老化,电阻变大,温度升不上去时,可将控制电压换到高电压档,以保证炉
体还可继续使用。由于一般采用的是低电压供电,因此炉子的工作电流将会比较大,但一般不会超过115A,如果工作电流达到120A,可能与电网电压偏高有关系,需要引起注意。此时可用钳形电流表监测炉体加热电流,同时用小起子调节可控硅触发板上相应段的电位器,将加热电流控制在90A左右(炉口端应适当加大些,调在100A左右为好)。
5.送气单元
逆时针旋转截止阀,可打开进气通道。顺时针旋转减压阀,并根据仪表指示,可调节进气压力,一般情况下进气压力设置在0.3~0.5MPa较合适。气源柜的供电由柜子底层电气转接板上的空气开关控制,当发现控制柜某层没有电源时,应检查相应层的空气开关是否合上。
自动控制时,控制单元经PCL-726板卡送出控制信号驱动16024D-A固态继电器,再由16024D-A固态机电气驱动相应的电磁阀,经PCL-726板卡送出D/A信号控
制气体流量,同时经PCL-812PG板卡的A/D通道采样检测实际流量,所有气路的气体流量设定值和检测值均在触摸显示器上显示。
6.超温保护系统的原理
CH402及F400温控器本身均具有超温、断偶报警功能。安全起见,在恒温区中心控温热电偶的旁边,还有一支温度监测热电偶接至CH402温度保护器,专门用于超温保护。
当炉温度超过保护设定值时,超温段相应温控器(或温度保护器)的报警指示显示灯亮,计算机上也有显示,保护系统会在发出声光报警的同时切断炉体加热功率部件的电流。
7.系统温度控制原理
输入的三相380V的交流电经电源转接板后,分为4路:一路给控制柜供电,一路给气源柜供电,一路给净化台供电,还有一路则经变压器降压、可控硅整流后作为炉体的加热电源。其中控制柜和气源柜为单相供电,而净化台和炉体柜则为三相供电。
置于炉体侧壁内的3支控温热电偶将检测到的温度值分别送给相对应的温控器,温控器将热电偶测得的温度值与设定温度值比较并经PID运算后,输出相应的模拟电流值给可控硅触发器A4,A4根据各温控器控制电流的大小,分别给出相应的过零触发信号,控制3个双向可控硅的通断时间,形成对3段炉丝加热功率的独立控制,从而达到自动控温的目的。
4.3扩散炉的操作过程和安全生产规范
4.3.1设备的操作方法
扩散工艺是建立在扩散炉的操作基础上的,以下简要介绍温控仪和计算机的使用。
1.温控仪的使用
一般情况下,温度目标值、升降温速率等均可在计算机上设定,其他参数由手动设置。F400、CH402(加热炉温控器)温度值可直接在计算机上设定,也可通过手动设定。
手动设定温度值(F400、CH402)的方法为:(1)按SET键;(2)按<键移位;(3)按∧键或∨键输入所需的温度值;(4)按SET键确认。
在拉恒温区的过程中,应根据标准热电偶的测量值来对相应控温段温控器的温度显示值进行修正(温控器的温度显示值为该温控器的测量值与修正值之和)。设定温度(F400、CH402)修正,以及设定报警温度值、窗口锁定等的手动操作,均可采用类似温度值(F400、CH402)的手动设定步骤进行。
2.计算机的操作使用
工艺过程中的自动进出舟、斜率升降温、分段恒温、开关电磁阀、质量流量计流量控制等步骤的工艺参数及工艺时间均可预先设置(可预置30条工艺曲线)。选定工艺曲线后,启动运行键,计算机自动按程序完成全工艺过程,并可自动监测和记录工艺过程中的全部参数。
4.3.2试运行准备
在正式开始运行工艺前,须进行以下准备步骤:
1.开启抽风排毒系统。
2.散热器通水。
3.根据工艺需要调出炉子的恒温区。
4.设置好保护温控器的报警温度值,一般以高于炉子工作温度10℃~20℃为宜。
5.装好石英反应管。
6.在外部气体接到设备之前,应确保管道里的气体纯度,最好先用气体清洗管道。接好气,打开手动阀,将减压阀的输出压力调在0.2MPa左右。
7.将装好三氯氧磷的源瓶放置在恒温槽中,并设定好恒温槽的工作温度,启动运行。
8.在计算机上编好工艺运行曲线。
9.装入工艺试验片。
10.运行工艺。
4.3.3常用的扩散工艺
扩散工艺的一般操作程序如下:
1.按试运行的10个步骤做好各项准备。待检查无误后,可按顺序合上总空气开关上电,合上每层的电源开关,开启计算机。此时控制系统自动启动,并完成以下初始化动作:关闭电磁阀,清除流量信号,清除舟信号。在工艺过程中,须保持计算机主机及显示器的电源始终处于开启状态。
2.在计算机上设置好工艺步骤及工艺参数。
3.按下炉体加热“开”按钮。
4.装入工艺片。
5.待炉温稳定后,按下计算机上的运行按钮。
4.3.4注意事项
在扩散炉的操作过程中,须注意以下事项:
1.装片和取片时按下控制柜前下方面板上的“净化”按钮,可在操作台范围内形成高洁净区。需打开照明灯时可按下控制柜前下面板上的“照明”按钮。需开启加热炉排风扇可按下控制柜前下方面板上的“排风”按钮。
2.控制柜面板上“消声”按钮的作用是当扩散炉出现故障、蜂鸣器发出声光报警时,按下按钮使蜂鸣器不再发声。但并不表示故障已经解除,必须在排除故障后将其松开。
为确保扩散炉处于警戒状态,在正常工艺时,须保持该按钮不被按下。
3.急停按钮是当进、出舟出现意外时,手动暂停步进电机转动用的,在正常工艺时应保持该按钮不被按下。
4.碳化硅悬臂桨的位置调好后,其支撑板上的上下、前后以及端头的调节螺钉均不得再随意调节,否则在进出舟过程中易造成石英隔热挡片以及工艺片的损坏,严重的还会直接损坏石英管和碳化硅悬臂桨。
5.主送气管道在接入设备前应先排空,再通入纯净高压气体吹洗干净,否则管道内的不洁净物质会引起气路元器件的堵塞及损坏。
6.压缩空气、氮气、氧气等各种气体的进气压力设定值均应调在0.3~0.5MPa之间,太小会使得气动阀难以开启及使质量流量控制器流量显示不稳定,太大则有可能损坏气路元器件。
7.炉子升温前须先开循环冷却水,否则会引起环境温度升高,致使恒温区出现偏差,并造成炉体加热柜顶部的排风扇损坏。
8.需要关闭整机时,不能简单切断电源。必须首先关闭各路气源,然后关闭计算机系统(要求在屏幕上出现“安全关闭计算机”字样),再关闭面板电源开关,关闭循环水(关闭循环水时要求炉体温度低于600℃),最后关闭总电源。
索比光伏网 https://news.solarbe.com/201205/22/255417.html

