索比光伏网讯:本文主要介绍太阳能光伏并网与软脱网技术:
一、无功控制技术

图1大中型太阳能光伏发电的结构原理

图2太阳能光伏并网等效电路

图3大中型太阳能光伏电站的四象限运行要求
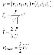
瞬时无功理论的应用

图5基于瞬时无功理论的参考电力提取算法

图6不补偿无功

图7补偿滞后无功

图8补偿超前无功
二、有功与频率调整控制
相关对比仿真实验:
1、全负荷,无光伏接入
2、半负荷,五光伏接入
3、峰值负荷,30%为光伏发电
4、半负荷,30%为光伏发电
5、峰值负荷,30%为光伏发电,停运常规机组
6、半负荷,30%为光伏发电,停运常规机组
7、峰值负荷,30%为光伏发电,其他机组低出力减少
8、半负荷,30%为光伏发电,其他机组低出力减少
三、低电压穿越技术

图10瞬时有功理论

图11控制框图

图12产生电压跌落的故障

图13保证出力不变的LVRT

图15保证输出电流不变的LVRT

图14单向接地故障下的电气量变化
(作者赵争鸣)
索比光伏网 https://news.solarbe.com/201205/02/256541.html

