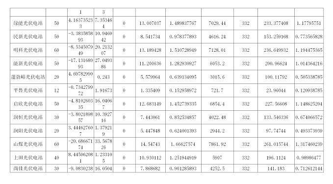
日前,国家能源局山西监管办公室发布了3月份山西电网并网运行考核统计表。

















索比光伏网 https://news.solarbe.com/201809/06/295594.html
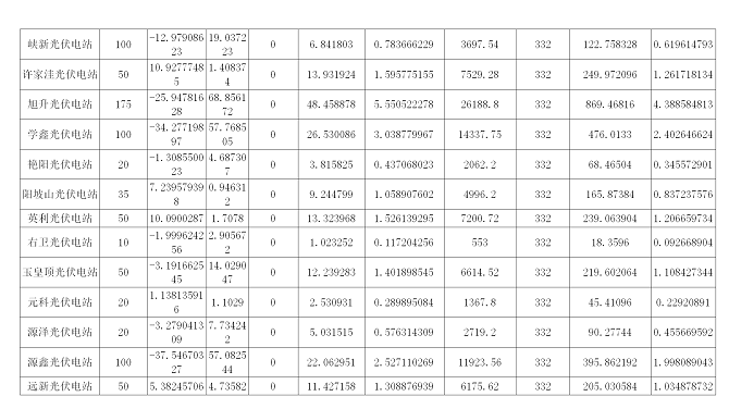
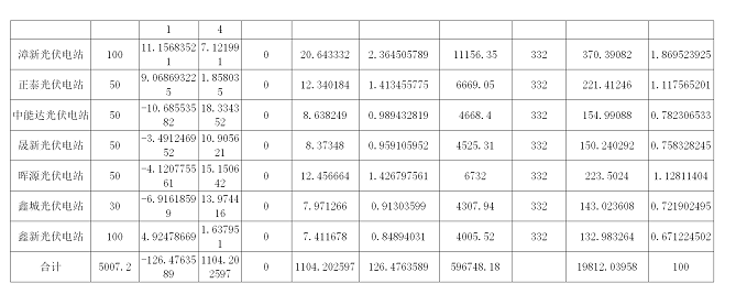
日前,国家能源局山西监管办公室发布了3月份山西电网并网运行考核统计表。

















索比光伏网 https://news.solarbe.com/201809/06/295594.html
本站标注来源为“索比光伏网”、“碳索光伏"、"索比咨询”的内容,均属www.solarbe.com合法享有版权或已获授权的内容。未经书面许可,任何单位或个人不得以转载、复制、传播等方式使用。
经授权使用者,请严格在授权范围内使用,并在显著位置标注来源,未经允许不得修改内容。违规者将依据《著作权法》追究法律责任,本站保留进一步追偿权利。谢谢支持与配合!
近日,由正泰新能供货光伏组件的澳大利亚WallaWalla355MW光伏电站正式投入商业运营。该项目由正泰新能独家供应57万块高效ASTRON系列组件,以年均7.2亿度的发电量,为澳大利亚的绿色能源转型注入了新的活力。WallaWalla电站采用57万块正泰新能ASTRON5光伏组件。正泰新能在澳大利亚深耕已久,此前已建成Yatpool106MW光伏电站、Hillston119MW光伏电站等多个标志性项目,积累了深厚的市场经验和良好的客户口碑。
近日,菲律宾能源领域迎来重大突破,位于宿务托莱多市马卢博格水库的4.99兆瓦漂浮光伏电站正式并网发电,标志着菲律宾正式迈入能源新时代,在可再生能源利用与工业绿色转型方面迈出了坚实一步。作为菲律宾首个漂浮光伏项目,它成功将可再生能源创新方案无缝融入工业运营。作为Atlas综合矿业与发展公司的全资子公司,CarmenCopper积极响应国家能源战略,以实际行动推动能源转型。
云开为机,大朝山西抢天光同样在暴雨中搏斗的,还有距离茂兰光伏电站两个半小时车程外的大朝山西光伏电站。当密集的雨帘终于稍有减弱,一线天光刺破浓云,战斗的重心即刻转向排查与抢修,来不及稍事歇息,大朝山西光伏电站员工们迅速奔赴各条检修道路。
新建建筑应安装太阳能光伏发电系统,新建公共建筑和工业厂房光伏产品应用面积不低于屋顶总面积的50%,新建居住建筑光伏产品应用面积不低于屋顶总面积的30%。推动单体建筑面积5000平方米及以上公共建筑、工业厂房、保障性住房、建筑面积10万平方米以上的商品房项目应采用装配式技术建造,装配率应不低于50%。到2030年装配式建筑占城镇新建建筑面积比例达到40%以上。
自136号文落地以来,新能源全面进入电力市场化交易,给光伏行业发展带来了深刻的影响。电力央企对光伏电站的投资测算调整作为当下新能源投资的主力军,国能、三峡、华能、大唐、国家电投等头部电力央企,针对新能源
“低价换市场”,正将光伏行业拖入深渊。冰冷的第三方检测数据揭示残酷现实:某央企电站中,低价组件的实际衰减率远超技术协议标准,组件质量隐患丛生。价格战阴影下,性能失守正在透支行业的未来信用。7月3日,工信
清源科技于2025年初成功中标新疆天山北麓562MW地面光伏支架项目,当前交付工作正有序且高效地开展。
7月10日,晋能控股发布晋北能源(山西)有限公司晋北采煤沉陷区新能源基地光伏逆变器采购招标公告。本招标项目划分为1个标段,包括组串式逆变器4.5GW、集中式逆变器500MW。技术要求如下:注:配套通讯设备、防PID模
光伏头条获悉,7月10日,海南省发展和改革委员会就《关于海南省深化新能源上网电价市场化改革的实施方案(征求意见稿)》公开征求意见。
6月4日,国家能源局印发《关于组织开展新型电力系统建设第一批试点工作的通知》,提出聚焦新型电力系统有关前沿方向,依托典型项目开展单一方向试点,依托典型城市开展多方向综合试点,探索新型电力系统建设新技术、新模式,推动新型电力系统建设取得突破。坚持重点突破,先期围绕构网型技术、系统友好型新能源电站、智能微电网、算力与电力协同、虚拟电厂、大规模高比例新能源外送、新一代煤电等七个方向开展试点工作。
近日,国家发改委办公厅、国家能源局综合司联合印发《关于2025年可再生能源电力消纳责任权重及有关事项的通知》(以下简称《通知》),下达2025年、2026年可再生能源电力消纳责任权重和重点用能行业绿色电力消费比例。《通知》的下发,将有效调动地方政府发展新能源的积极性,拉动全国绿电绿证消费需求,利好可再生能源高质量发展。



