2018年4月份京津唐电网光伏发电站并网运行管理运行结算汇总表如下:


索比光伏网 https://news.solarbe.com/201806/01/288394.html
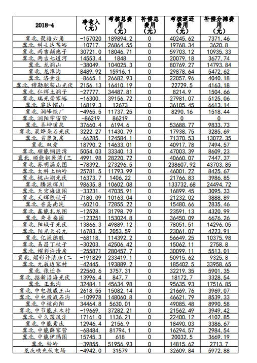
2018年4月份京津唐电网光伏发电站并网运行管理运行结算汇总表如下:


本站标注来源为“索比光伏网”、“碳索光伏"、"索比咨询”的内容,均属www.solarbe.com合法享有版权或已获授权的内容。未经书面许可,任何单位或个人不得以转载、复制、传播等方式使用。
经授权使用者,请严格在授权范围内使用,并在显著位置标注来源,未经允许不得修改内容。违规者将依据《著作权法》追究法律责任,本站保留进一步追偿权利。谢谢支持与配合!
近日,中国电建承建的坦桑尼亚首个光伏电站——希尼安加50兆瓦光伏项目全容量并网发电,对促进该国电力结构多元化,推进当地清洁能源行业发展具有里程碑意义。作为坦桑尼亚首个光伏电站项目,该工程从设计、建设到调试并网全过程备受关注。项目投产后,年均发电量约7200万千瓦时,每年可减少二氧化碳排放约5.7万吨,可有效缓解坦桑尼亚西北部地区电力短缺问题,改善居民用电和生活质量,促进当地经济发展。
当地时间3月4日,由中国能建天津电建承建的伊拉克拉塔维1吉瓦光伏项目Unit1圆满达成全容量并网发电,并网期间,各项指标均达到设计要求,具备规模化清洁电力供应能力,标志着该项目正式由建设阶段转入规模化稳定发电新阶段。作为伊拉克首座大型光伏发电厂,该项目也是该国首个公用事业规模的光伏发电项目,具有重要的里程碑意义。
尤其在夏季连续阴雨天气下,BC组件依然保持了发电量的稳定领先,充分证明了其在复杂气候条件下的高可靠性与卓越性能,为此次大规模商业化应用提供了坚实的数据基石。
近日,湖北省能源局、国家能源局华中监管局联合印发《湖北省分布式光伏发电开发建设管理实施细则》。三是其他一般工商业分布式光伏发电项目需满足年度自发自用电量原则上不低于年度发电量的50%,不满足比例要求的项目,次年在参与电网调峰时增加调峰力度。分布式光伏所在的建筑物及其附属场所应当位于同一用地红线范围内。采用全部自发自用模式的分布式光伏发电项目原则上不受当地可开放容量限制。
11月26日,四川发展改革委员会新能源和可再生能源处答复咨询者关于“规模较小的地面光伏电站项目备案管理程序”相关问题。答复:国家能源局《分布式光伏发电开发建设管理办法问答》第18问明确,小型地面电站光伏发电项目归于集中式光伏电站管理,并按照各省能源主管部门对于集中式光伏电站的有关管理要求执行。
11月11日,罗马尼亚光伏项目开发商GrupBlauerBucureti宣布,其装机容量174MWp的光伏电站已顺利完工并进入试运行阶段。该电站位于罗马尼亚南部奥尔特县斯图迪纳乡,按计划将于今年年底正式启动商业运营。随着174MWp光伏项目即将投入商业运营,其有望成为中资企业在中东欧可再生能源市场的重要支点。该项目投运不仅将增强罗马尼亚的绿色能源发电装机,也标志着中国能源巨头通过香港平台深化海外投资的又一典型案例。
近日,由正泰新能供货光伏组件的澳大利亚WallaWalla355MW光伏电站正式投入商业运营。该项目由正泰新能独家供应57万块高效ASTRON系列组件,以年均7.2亿度的发电量,为澳大利亚的绿色能源转型注入了新的活力。WallaWalla电站采用57万块正泰新能ASTRON5光伏组件。正泰新能在澳大利亚深耕已久,此前已建成Yatpool106MW光伏电站、Hillston119MW光伏电站等多个标志性项目,积累了深厚的市场经验和良好的客户口碑。
10月13日,德国巴伐利亚州的一片采石场湖面上,一个与众不同的太阳能电站正式启用。这不是传统的太阳能电站,而是世界首座垂直浮式光伏电站,由德国SINN Power公司建造。这个创新项目不仅突破了人们对太阳能电站的想象,更在技术、生态和能源效益上取得了令人瞩目的成果。
近日,菲律宾能源领域迎来重大突破,位于宿务托莱多市马卢博格水库的4.99兆瓦漂浮光伏电站正式并网发电,标志着菲律宾正式迈入能源新时代,在可再生能源利用与工业绿色转型方面迈出了坚实一步。作为菲律宾首个漂浮光伏项目,它成功将可再生能源创新方案无缝融入工业运营。作为Atlas综合矿业与发展公司的全资子公司,CarmenCopper积极响应国家能源战略,以实际行动推动能源转型。
今年以来,在广东、浙江、河南等地已发生近10起光伏电站火灾事故,经业界分析,事故诱因大多指向直流侧故障。经过阳光电源及行业多重数据分析,发现光伏电站约90%的事故源于直流侧。“安全才是最低成本的长期主义,阳光电源始终将安全置于首位。”从前端的风险源头预防,到中端的态势实时感知,再到末端的故障可靠隔离,阳光电源的直流安全AI全域管理方案呈现出清晰的层级递进关系:每一层级既解决



