本文主要介绍一种利用LLC谐振电路进行高频光伏并网逆变器设计,将隔离型和非隔离型的优点结合,既减轻了重量、缩小了体积、降低了成本,又提高了电能质量和安全性。而且由于使用LLC谐振电路能够实现DC-DC级功率器件的软开关,可以大大降低功率器件的开关损耗,因此能显着提高整个系统的转换效率和器件的使用寿命。
1 光伏并网逆变器结构及基本原理
1.1 系统设计结构
采用LLC隔离的光伏并网逆变器结构如图1所示,它包括DC-DC 直流升压级和DC-AC 逆变级两级结构,前级负责对太阳能电池阵列传送过来的直流电进行升压和最大功率跟踪,后级负责对前级传送过来的直流电进行逆变,最后经过滤波电路后进行并网。

光伏并网逆变器通过使功率器件有规律的开通、关断来控制电能的传输,功率器件的开通关断采用脉冲宽度调制(PWM)方式来控制。太阳能电池产生的直流电首先送给DC-DC 电路,DC-DC 级执行最大功率点跟踪(MPPT)算法,使太阳能电池始终工作在最大功率点。
经过最大功率点跟踪控制后DC-DC电路将太阳能电池的电能进行升压变成适合DC-AC 级的直流电,然后送到DC-AC级将直流电变换成交流电。控制器对采样电路采取的电网电压或电流相位进行跟踪计算,然后通过调节DC-DC级功率器件开关使逆变器的输出电流与电网电压同频同相,最后通过输出滤波电路或隔离变压器将电能输送到电网。本文DC-DC级输入200~300 V,输出400 V 直流电压,输出功率500 W,满载时功率因数不低于94%.DC-AC级输入直流电压400 V,功率等级600 W,功率因数为1。
2 LLC电路分析
本文采用LLC谐振电路代替工频变压器进行隔离,这是跟传统光伏并网逆变器所不同的地方,也是其优点所在。传统工频隔离变压器体积大、笨重、成本高,采用LLC谐振电路进行隔离可以大大缩小逆变系统的体积,提高效率和功率密度。LLC 谐振电路是在传统的串联谐振电路基础上,将变压器励磁电感Lm 串联在谐振回路中,构成一个LLC谐振电路。相比传统的串联谐振电路,由于增加了一个谐振电感,使得电路谐振频率降低,无需使用额外辅助网络就可以实现全负载范围内的开关管零电压开关;其次,变压器副边整流二极管可以有条件的工作在零电压关断,减小了二极管反向恢复所产生的损耗;而且其适合工作在宽的电压输入范围下,输入电压越高,效率越高,在工作点最优时可获得97%的转换效率。
本文采用了一个半桥LLC串联谐振电路,如图2所示。半桥LLC 串联谐振电路包含输入电容C1 、C2 ,MOSFET Q1 、Q2 ,谐振电感Lr ,谐振电容Cr ,变压器T1 ,输出整流二极管D1 ~ D4 和输出电容C3。
由于增加了一个谐振电感,LLC谐振电路具有两个谐振频率,一个是谐振电感Lr 和谐振电容Cr 的谐振频率fr ,另一个是Lm 加上Lr 与Cr 的谐振频率fm,计算公式如下:


[ t0 - t1 ]阶段:t0 时刻谐振电流为负,Q1 体二极管导通,Q1 两端电压钳位在0,此时让Q1 导通为零电压导通。能量从电源正极流向C1 ,C2 中点,Lr ,Cr 谐振,谐振电流ILr经过开关管Q1 并以正弦形式逐渐上升,流过变压器原边的电流IT1为谐振电流ILr与励磁电流ILm之差,变压器原边电压极性上正下负,副边极性也为上正下负,因此D1 、D4 自然导通,变压器原边电压被钳位在nVo(n 为变压器变比),励磁电流线性上升。

经过半个周期谐165现代电子技术2013年第36卷振时Q1 仍处于导通状态。半个周期之后谐振电流开始减小,励磁电流继续线性上升,t1 时刻谐振电流与励磁电流相等。
[ t1 - t2 ]阶段:t1 时刻谐振电流ILr等于励磁电流ILm,变压器原边电压为0,副边电压也为0,副边整流二极管全部截止,原边不再向副边提供能量,励磁电感Lm开始参与谐振。由于Lm 要比Lr 大很多,LLC谐振周期明显变长,所以谐振电流基本不变。t2 时刻Q1 关断。
[ t2 - t3 ]阶段:t2 时刻Q1 关断,此时Q2 也处于关断状态,电路进入死区时间。谐振电流ILr对Q2 的结电容放电,当它的电压降到0时,体二极管导通,变压器原边绕组极性变为上负下正,副边整流二极管D2 、D3 自然导通,励磁电感Lm 电压被输出电压钳位,不再参与谐振。谐振电流开始以2π LrCr 为周期程正弦规律减小,励磁电流线性减小。t3 时刻Q2 零电压开通。
[ t3 - t4 ]阶段:t3 时刻Q2 零电压开通,与第一阶段类似,Lr 、Cr 谐振,谐振电流以正弦形式减小,励磁电流线性减小。t4 时刻谐振电流等于励磁电流。
[ t4 - t5 ]阶段:t4 时刻开始变压器原边电压为0,副边整流二极管全部截止,原边不再向副边提供能量,励磁电感不再被输出电压钳位,开始参与谐振。LLC谐振电流基本不变。
[ t5 - t6 ]阶段:与[ t2 - t3 ]阶段类似,电路进入死区时间,Q1 、Q2 全部关断,谐振电流ILr对Q1 的结电容充电,当它的电压等于电源电压时,体二极管导通,变压器原边绕组极性上正下负,副边整流二极管D1 、D4 自然导通,励磁电感Lm 电压被输出电压钳位,不再参与谐振。
谐振电流开始以2π LrCr 为周期程正弦规律增大,励磁电流线性增大。t6 时刻Q1 零电压开通,开始进入下一个周期。
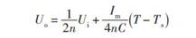
在[ t1 - t2 ]阶段和[ t4 - t5 ]阶段,假设谐振电流不变,设为Im ,则输出电压Uo 可表示为:
![]()
3 最大功率点跟踪控制策略
3.1 最大功率跟踪基本原理
太阳能电池是一种非线性直流电源,它的输出受太阳光照条件的和温度等环境影响非常大。在一定太阳照度和一定结温的条件下,当光伏电池的端电压(电流)发生变化时,其工作点也会沿着曲线变化。但是,一定会存在一个点,使得太阳能电池输出的功率最大。这一点就被称为最大功率点,寻找这一最大功率点的技术就被称为最大功率跟踪技术(Maximum Power Point Track-ing,MPPT)。
在常规的线性系统电气设备中,为了获得最大功率需要使负载的电阻等于电源内阻。但太阳能电池是一个非线性电源,它的内阻受环境影响而不断变化,为了进行负载电阻匹配从而获得最大功率,就需要不断调整负载阻值。DC-DC变换器的等效电阻跟开关管的工作状态有关,因此可以通过调节它的占空比来改变它的等效电阻,使它的等效阻值一直等于太阳能电池的内阻,这样就可以使太阳能电池一直工作在最大功率点。
这就是光伏并网逆变器最大功率跟踪的基本原理。
3.2 最大功率跟踪算法
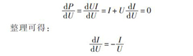
目前常用的最大功率跟踪算法主要有恒定电压跟踪法、扰动观察法、电导增量法等几种,其中电导增量法以优良的跟踪性能倍受青睐。下面简单介绍其工作原理。图4是太阳能电池特性曲线图。由图可以看出,在最大功率点的时候功率曲线斜率为0,即功率P 对电压V 的导数为0,所以有dPdU =0,又因为P=UI,所以:


本文鉴于传统光伏并网逆变器使用工频变压器进行隔离的不足而提出了一种利用半桥LLC串联谐振电路进行隔离的光伏并网逆变器设计方案,该设计方案通过将传统变压器隔离型光伏并网逆变器和采用LLC 谐振电路隔离的光伏并网逆变器进行对比分析可知,半桥LLC 串联谐振电路能实现开光管的零电压开关,减小开关损耗,从而大大提高逆变器系统的转换效率。而且LLC谐振电路体积小,重量轻,成本低,易于实现小型化和模块化,有助于光伏并网逆变器的广泛推广使用,以此证实了改方案的具有很强的实用性。
索比光伏网 https://news.solarbe.com/201407/22/214266.html

