1基于级联式逆变器的光伏并网发电系统
1.1级联式逆变器的结构
1988年日本学者M.Marchesoni等人在PESC年会上提出了基于H桥级联的多电平逆变电路结构。该种电路结构以多电平阶梯波来模拟逼近正弦波,从而可以提高输出电压的等级,同时减小高次谐波含量。图1是三相四级级联电路的拓扑结构图。从图1所示的拓扑结构分析可以得知:逆变H桥直流测电压为UDC时,单级H桥输出有UDC,0以及-UDC三种电平,则N级级联结构输出共有2N+1种电平。这种多电平结构使得级联式逆变器具有如下几个优点:各个模块相对独立,可以方便进行更换或扩展成更高电压等级;各个模块的开关器件(IGBT)承受电压相对普通逆变器要低,系统的可靠性增加。

1.2光伏并网发电系统的拓扑结构
基于级联式逆变器的光伏并网系统的拓扑结构如图2所示,图中前级为太阳能电池板和DC—DC升压电路(BOOST)电路,后级为多个H桥(DC-AC)级联而成的逆变器,其输出通过网侧滤波器与电网相连。

图2中光伏电池提供各个部分的独立直流电源,DC—DC电路对光伏电池电压升压并完成实现最大功率跟踪控制,DC-AC电路完成实现并网电流与电网电压相位一致。在本文光伏并网系统建模中,级联逆变器输出通过滤波电感与电网相连,在一定控制方式下,完成实现并网电流与电网电压相位一致(功率因素为1),使系统能够实现并网。2光伏并网系统的控制策略
结合单级光伏并网系统控制策略以及级联式逆变器控制策略两者的特点,为获得与电网侧同相位的并网电流,前级DC-DC电路对光伏电池电压升压并实现最大功率跟踪控制,后级DC-AC电路采用阶梯波控制和电流环控制的混合控制策略。在这种策略控制下的光伏并网系统,并网电流与电网电压相位保持一致,并能实现最大功率跟踪。限于篇幅,前级的最大功率跟踪控制本文将不作介绍,本文重点介绍级联式逆变器部分的控制策略。
2.1基于阶梯波控制的PWM载波调制控制
对于级联式逆变器部分的控制系统,文献提出一种高效PWM载波控制方式,此方式是基于阶梯波控制的前提下形成。PWM载波控制策略是:前3级采用阶梯波控制,第4个H桥引入PWM方式。具体操作为:前3个H桥输出的波形叠加后形成阶梯波,以电网侧理想正弦波减去叠加的阶梯波作为第4个H桥的调制波,调制波与传统三角载波进行比较,确定第4个H桥的PWM控制。这种PWM载波控制方式比4个H桥都使用阶梯波控制方式效果更好。图2所示系统中,前3个H桥采用的阶梯波控制是利用级联式多电平结构特点实现控制。图3以三级级联电路为例说明,在导通角分别为θ1,θ3,θ5时,控制3个H桥依次导通,输出电压逐级增加,且波形对称分布。导通角度的计算可以采用面积等效法进行计算获得,也就是以阶梯波与横轴的面积等于正弦波与横轴的面积为准则。如果计算得到的导通角为θ1,θ3,θ5,在正半周期内,在[θ1,π-θ1],[θ3,π-θ3],[θ5,π-θ5]区间3个H桥分别导通输出正向电压。负半周期导通方式与正半周期类似,输出负电压叠加,其余时间各H桥则输出零电压。

2.2电流环捏制
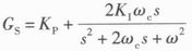
前文介绍了前3个H桥的控制方式,为了保证并网电流与电网电压相位一致,需在第4个H桥引入电流环控制。如图2所示的级联式逆变器电流环控制系统中:前级DC-DC电路的最大功率跟踪控制决定直流侧电压参考值UDC(ref),此参考值与实际直流侧电压值UD的差值通过PI调节器决定并网电流的幅值指令,该幅值指令与电网电压的相位正弦值sinωt相乘,得到电流调节器的参考值(Iref),此参考值与实测电流值误差通过电流控制器得到的PWM信号,再通过驱动电路去控制第4个H桥的开关管,电流控制器是基于PR调节器进行设计而得到的。级联式逆变器电流环控制流程图如图4所示,其中电流控制器部分的设计思路为:电流参考值与实测电流值误差通过PR调节器得到的信号,与电网侧电压以及前3级输出叠加阶梯波电压的运算值作为第4个H桥的调制波信号,然后将此信号与三角载波比较生成的PWM信号来控制第4个H桥的开关管。图4中PR调节器采用其改进形式为:

选择PR调节器的好处是:选择合适的参数(ωc)得到更好地控制调节器性能,对于ωc的选择,可以得到不同的基频处增益,以满足对于稳定性的要求。

3基于级联式逆变器光伏并网系统的仿真研究
本文仿真是基于级联式逆变器光伏并网系统的Matlab/Simulink仿真。Matlab版本为Matlab R2012a,基于上文所描述的控制方式,通过选择合适的参数进行仿真。部分参数的选择为:并网电感4 mH,PR调节器参数选择为:KP=0.2,ω=314 rad/s,KI=20,ωc=10,PI调节器参数比例系数取0.4,假设标准光照环境下光伏电池DC取36 V,DC-DC升压电路占空比取0.64.主电路采用4级级联的方式,电网有效值220 V,频率50 Hz.设定强弱光照下并网电流参考值幅值分别为30 A,20 A,得到的仿真波形分别如图5、图6所示。

由图5、图6可以得知:在此种控制方式下,不管光照强度如何,并网电流与电网电压同相位,能够进行并网,验证了前文所述控制方式的可行性。
4结语
级联式逆变器其输出的波形接近正弦波,具有更小的谐波,采用阶梯波控制与电流环控制方式能够在强弱光照下进行很好的并网。Matl ab/Simulink仿真分析验证此种方法的正确性。同时由于多个独立电源的串联,开关管的耐压与du/dt只取决于与之并联的直流电源,将会减小。这些都能很好地解决传统的单级式或多级式太阳能光伏并网系统结构上一些不足,提高系统的稳定性和效率。
索比光伏网 https://news.solarbe.com/201311/19/226495.html

