索比光伏网讯: 到2050年全球的能量需求将达28TW,到2100年则为46TW。部署的光伏太阳能电池必须扩展到数十万亿峰瓦,以便满足这些需求令人注目的一部分。太阳能电池的输出随一天中的时段而改变。太阳能电池的时间平均输出是其峰值功率的15-20%;所以,50TWp的太阳能电池将产生7.5-10TW的平均输出,或2100年全球能量需求的~18%。
在现今几乎所有的硅片太阳能电池中,用Ag作为n型发射极上的指形电极,而Al用于作为p型基极上的背电极。硅片太阳能电池达到万亿瓦数量级的主要瓶颈之一是Ag的稀少。根据美国地质调查(U.S. Geological Survey),地球上已知的Ag储量约为570,000公吨。众多分析估计,从硅片太阳能电池可能得到的最大功率受Ag储量的限制。他们得出相似的结论,即已知Ag储量将把硅片太阳能电池约束在小于1万亿瓦时间平均输出,这是我们2100年能量需求的很小部分。此外,Ag的价格自2010年夏季以来急速上涨,现在已经是电池成本的重要部分。若太阳能电池工业继续以现在的步伐增长(年均约50%),对Ag的需求也将持续增加,肯定会使Ag价更高。因此,为使硅片太阳能电池成为未来能源的重要来源,必须用低成本地球富有金属替代Ag。
本文考察了多个地球富有金属,目的是确定Ag的合适替代品。结论是,Cu和Al是Ag的合适替代金属。讨论了Cu和Al替代Ag的一些挑战。给出了解决Al替代Ag时碰到的挑战的初步结果。
Ag的潜在替代品
确定Ag合适替代品的主要考虑因素是材料的丰度和电阻率。作为指形电极,替代金属的电阻率必须低且与Ag的电阻率相当。若采用较高电阻率的金属,为了保持同样的指形电阻,指形电极的宽度或高度就不得不增加。这样,或者电池效率受损,或者制造难度增加。
作为参考,Ag是所有金属中电阻率最低的之一,其电阻率为1.59×10-6Ω-cm。表1从低到高列出了不同金属的电阻率。根据电阻率,Cu是Ag的最佳替代品,其电阻率仅比Ag高6%。若用Al且指形宽度保持一样,指高度或高宽比必须增加77%才能保持同样的指电阻。这颇具挑战性,不过仍有潜在的可行性。Ca的电阻率高111%,但Ca与水气反应,故不适宜用作接触金属。Ca以上任何金属的电阻率太高,不宜用于指形电极。

表2根据U.S.Geological Survey列出各种金属已知的储备量和目前的年产量。储备量包括有经济价值和经济价值不大的资源。依据储量和年产量,Ag比不过其他金属。Sn的年产量与其他金属比也很小。Cu和Al二者有巨大的储量,它们的年产量在数千万吨范围内,足以支持万亿瓦级硅片太阳能电池的生产。

替代金属的挑战
从上述讨论可得出结论,Ag的合适替代品有Cu和Al。硅片太阳能电池中用Cu或Al作为指电极存在一系列挑战:
1)抗氧化:Ag在各种温度下是抗氧化的。这保证了接触烧结(一般是750℃)后有低电阻金属指形电极。在这一温度下,Cu氧化成高电阻p型半导电的Cu2O和CuO,而Al部分氧化为绝缘的Al2O3。二者均会显著增加指电极电阻。Cu或Al指电极的烧结也许不得不在无氧环境下进行。
2)阻挡层:Cu和Al二者要求与Si的阻挡层,由于各种不同的原因,Al能与Si直接接触。因为它是Si中的p型杂质,必须避免Al与n型发射极合金化。这似乎可以用阻挡层实现。Cu是恶名昭著的少数载流子杀手,会引起效率的严重损失。TaN一类的阻挡层是半导体工业中常用的,避免Cu与Si直接接触。
3)长期可靠性低:Cu在普通环境条件下会缓慢氧化,产生了对长期可靠性的担忧。要求对水密封和气密封设计更加严格的指标。这方面Al比较好,因为Al的氧化物(Al203)形成高密度保护层,可防止下面的Al进一步氧化。
目前还难以得出结论,在硅片太阳能电池中Cu或Al那一种金属是指电极更好的替代品。尽管如此,仍能对它们各自的优缺点作出分析。Cu的最大优点是电阻率低,这导致与Ag比较的阴影损失很小。它可以电镀,这是保证低成本的工艺解决方案。在小电池上的效率已显示有17.2%,商用尺寸的电池上达18.4%。Cu的主要缺点是要求有阻挡层。Ni和Ti均得到良好的效果。Ni可电镀,但Ti不行。由于Cu的氧化,Cu的长期可靠性是另一个要顾及的问题。此外,若引入电镀,工业应有经验学习曲线。
就Al来说,尽管与n型Si的合金化必须避免,但它能与Si直接接触。因氧化长期远景看低的问题对Al比较好。丝网印刷对Al来说是成熟工艺,原则上它能应用于Al指形电极。Al的主要优点是Si与Al之间的肖特基势垒高度能用工程方法获得低接触电阻,本文将加以讨论。对Cu来说,接触电阻由阻挡层金属确定,其他考虑因素(如Cu扩散性)常常决定阻挡层金属的选择。另一方面,较高电阻率的Al要求较高高宽比的指形电极,对目前的丝网印刷工艺提出挑战。关于Al指形电极的R&D还没有开始。
作为Ag替代品的Al
若能实现高高宽比,作为Ag 指形电极的替代品,Al比Cu更具吸引力。这方面有二个原因。一个是在Al和n型Si间呈现创纪录低的肖特基势垒0.08eV,这确保了低接触电阻。另一个是直至400℃,Al和Si间的界面反应可得到抑制。用价补Si(100)表面可获得这些结果。
价补钝化
“价补(valence mending)”的概念是Kaxiras提出的,旨在解除半导体表面的悬空键。对于Si(100)表面,价补是用硫或硒的单原子层实现的。在新生Si(100)表面,每一表面原子占据二个悬空键,如图1(a)所示。这些悬空键是表面态的起源,它们钉扎表面费米能级。在金属/Si界面,费米能级钉扎效应使肖特基势垒高度与金属功函数没什么关系,主要受表面态(或更恰当地说是界面态)的控制。硫或硒的单原子层淀积在Si(100)表面时,它们在二个Si原子间桥接,很好地中止了Si(100)上的悬空键,如图1(b)所示。我们已有论文报道过硫或硒用于Si(100)表面的价补钝化,然而,对于万亿瓦级光伏应用,硫比硒丰富得多。

电学上,中止Si(100)表面上的悬空键使表面态最小化,这一直是巴丁时代以来半导体技术最为精彩的一页。使表面态最小的重要结果是莫特-肖特基(Mott-Schottky)理论将被更严格遵守,即金属与Si之间的肖特基势垒高度将主要由金属功函数与Si电子亲和势决定。在n型价补后的Si(100)表面上淀积低功函数金属就能实现低肖特基势垒。我们在有Al 的Se钝化n型Si(100)表面上展示了创纪录低的肖特基势垒。
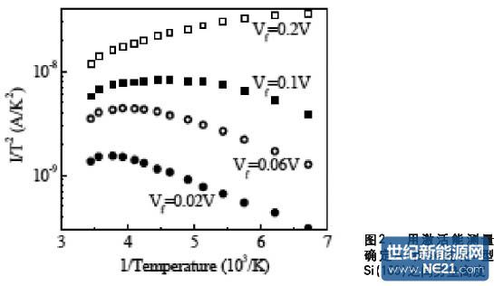
实验是在低剂量1015cm-3Sb掺杂n型Si(100)硅片上进行的。钝化后,在硅片上用电子束蒸发和剥离(lift-off)工艺制作直径200μm的Al圆点。重要的是,钝化后的溅射工艺要缓和,因为溅射淀积能破坏钝化层。图2说明确定Se钝化n型Si(100)上Al势垒高度的激活能测量,以及斜率给出的势垒高度。取决于偏压,势垒高度在0.06-0.10eV间变化,远远低于Al/n型Si接触长期建立的值0.72eV。

创纪录低的势垒高度应导致Al和n型Si间极低的接触电阻。轻掺杂与重掺杂Si的接触电阻分别由下面二式给出:

任一情况中,接触电阻是势垒高度的指数函数。例如,Si中掺杂为1×1019cm-3时,势垒高度从0.6到0.4 eV适度地减少0.2eV就使接触电阻降低4个数量级!这就是降低n型Si上肖特基势垒能大大减少接触电阻的原因。低接触电阻对接触面积有限的指形电极是很重要的。它也能缓解由于Al电阻率较高而造成的指形电极电阻增加。更加重要的是,低接触电阻能在轻掺杂Si上实现,提供了硅片电池设计更多灵活性。在Si(100)表面中止悬空键的另一结果是抑制了表面的化学活性。这就是抑制Al与Si合金化的机理,也抑制了无意中Si 的p型掺杂。
实验是通过检验在Se钝化Si(100)表面上Ni硅化进行的。在二片Si(100)硅片上淀积50nm Ni膜,一片有Se钝化,另一片没有Se钝化。在N2中400-700℃间加热这些样品60秒进行硅化,用透射电子显微镜检查Ni/Si界面。结果示于图3。对于没有Se且在400℃下退火的控制样品,观察到硅化,结果在Ni和Si间有二层硅化物堆叠(图3(a))。这证实了Foll等人早先对于Ni硅化的TEM研究。他们的结论是,二层堆叠分别为Ni2Si和NiSi。500℃退火后,单层NiSi出现在控制样品的Ni/Si界面(图3(b))。但是,钝化样品的表现完全不同。400℃退火后(图3(d)),Ni与Se钝化Si(100)表面间没有硅化而且界面陡削。500℃退火后,Ni与Se钝化Si(100)表面间仍然没有明显的反应(图3(e))。仅仅在600℃退火后,Ni与Se钝化Si(100)反应形成单层NiSi(图3(f))。因此,Ni/Se钝化Si(100)界面的热稳定性是~400℃。

上述结果说明,直到400℃均能防止Al与Si合金化,或直到400℃能抑制n型Si的无意p型掺杂。由于目前Al浆一般在750℃烧结,需要开发新的低温Al浆,用于以低于400℃烧结温度的n侧接触。若p侧Al浆仍然在750℃烧结,对于这样的全Al硅片太阳能电池就必须采用二步烧结工艺:第一次烧结在750℃用于p侧接触,第二次烧结在400℃用于n侧接触。二步烧结工艺似乎比目前的一步烧结工艺成本较高,不过,这或许是我们为了在硅片太阳能电池中避免用Ag不得不付出的代价。
结论
Si太阳能电池达到万亿瓦级规模的主要瓶颈之一是Ag的稀缺。根据材料的丰度和电阻率,得出的结论是,Cu和Al是指形电极Ag的合适替代品。讨论了Cu或Al替代Ag的一些挑战,包括抗氧化、接触电阻和阻挡层。过去有关这一课题的大多数工作集中于Cu,我们提出用价补钝化作为Al替代Ag时碰到的挑战的解决方案。 得到的初步结果支持我们的看法,这些结果包括:Al与Se钝化n型Si(100)表面间创纪录低的0.08eV肖特基势垒,直至~400℃ Se钝化Si(100)表面和Ni之间硅化的抑制。用价补钝化有可能构建全Al接触硅片太阳能电池,用于低成本万亿瓦规模的部署。
索比光伏网 https://news.solarbe.com/201304/16/236102.html

