稳定高效的钙钛矿-硅叠层太阳能电池的快速发展需要合适的测量方法来量化其电学损失。
本文提出了一种子电池分辨的 Suns-VOC 测量方法,用于量化传输损失;以及空间分辨的 Suns-PLSuns-PL 成像测量方法,用于量化填充因子和选择性损失。此外,我们明确了损失机制的术语,以便清晰识别电学损失。通过对测量参数的详细敏感性分析,揭示了测量方法的精度。
文章亮点:
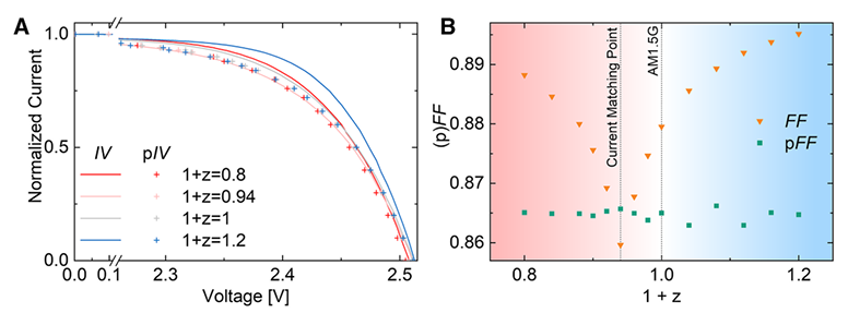
1.提出子电池分辨的 Suns-VOCSuns-VOC
测量方法:首次实现对钙钛矿-硅叠层电池中各子电池的传输损失进行精确量化,避免了传统方法中因反向偏压导致的钙钛矿降解问题。
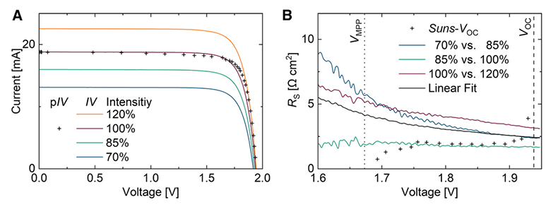
2.开发空间分辨的 Suns-PLSuns-PL
成像技术:可生成局部隐含填充因子(IFF)图像,识别选择性损失和空间不均匀性,为器件优化提供直观依据。
3.系统澄清电学损失术语与机理:明确区分了串联电阻、选择性损失、伪IV与隐含IV参数等概念,为叠层电池的性能分析与对标提供标准化框架。

















https://www.sciencedirect.com/science/article/pii/S2590238525004473
索比光伏网 https://news.solarbe.com/202508/29/50007321.html

