在染料敏化太阳能电池(DSCs)中,大能隙和窄能隙光敏剂的高效抗聚集和优异的光捕获能力对抑制界面电荷复合、实现高开路电压(Voc)至关重要。
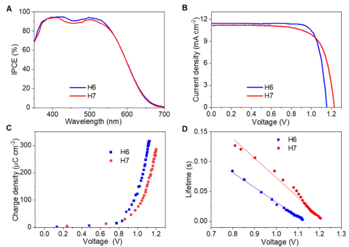
本文西班牙加泰罗尼亚化学研究所Emilio Palomares等人报道了两种有机光敏剂H6和H7,分别采用大体积供体N-(2',4'-双(己氧基)-[1,1'-联苯]-4-基)-2',4'-双(己氧基)-N-甲基-[1,1'-联苯]-4-胺和N-(2',4'-双(十二烷氧基)-[1,1'-联苯]-4-基)-2',4'-双(十二烷氧基)-N-甲基-[1,1'-联苯]-4-胺,以及双己基噻吩作为π桥和电子受体4-(苯并[c][1,2,5]噻二唑-4-基)苯甲酸。尽管更长的烷基链并未改变光学能隙,但H7在染料接枝的二氧化钛和氧化铝薄膜中表现出比H6更长的激发态寿命。采用长烷基链光敏剂H7的铜基DSCs实现了1.22 V的高VocVoc,与近期研究的钙钛矿半导体太阳能电池相当。
与XY1b共敏化的器件在模拟AM1.5G条件下(100 mW cm−2)实现了82.1%的填充因子和13.7%的优异光电转换效率(PCE)。此外,最佳器件在弱光条件下的效率高达29.7%,超过了钙钛矿太阳能电池。
文章亮点
分子结构优化提升性能:通过引入长烷基链(H7为十二烷氧基,H6为己氧基)有效抑制染料分子聚集,延长激发态寿命,显著提升开路电压至1.22 V,并改善电荷分离与传输效率。
共敏化策略实现高效光捕获:H7与窄带隙染料XY1b共敏化,互补吸收光谱,覆盖400–700 nm范围,IPCE峰值超过90%,最终实现13.7%的PCE(AM1.5G)和29.7%的弱光效率,优于同类钙钛矿器件。
界面动力学与稳定性优化:长烷基链增强染料在TiO₂表面的有序自组装,减少电荷复合,提升电子寿命和填充因子(FF达82.1%),器件在室内光照下表现出色,适用于物联网等低功耗应用场景。





H. Wu, L. M. Moncusí, J. Li, E. Martinez-Ferrero, P. Wang, and E. Palomares, “ Co-Sensitized Solar Cell Achieves 13.7% Efficiency with Bis-Hexylthiophene Dyes.” Adv. Sci. (2025): e09116.
https://doi.org/10.1002/advs.202509116
索比光伏网 https://news.solarbe.com/202508/20/50006484.html

