4.186GW、8689个村级扶贫电站 十三五第一批光伏扶贫指标公布!
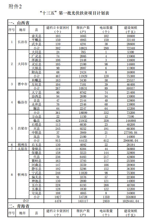
来源:国家能源局发布时间:2018-01-03 09:08:04 索比光伏网讯:随着扶贫攻坚战进入关键阶段,近日国家能源局、国务院扶贫开发领导小组办公室联合发布《关于下达“十三五”第一批光伏扶贫项目计划的通知》,经过国家能源局、国务院扶贫办及相关单位数月的辛苦审核,涉及14个省(自治区)、236个光伏扶贫重点县的总规模4186.237852MW的光伏扶贫项目获得批准,面向的扶贫对象为14556个建档立卡贫困村的71.0751万户建档立卡贫困户。
以下为相关文件:












索比光伏网 https://news.solarbe.com/201801/03/124668.html
责任编辑:solar_robot
索比光伏网&碳索光伏版权声明:
本站标注来源为“索比光伏网”、“碳索光伏"、"索比咨询”的内容,均属www.solarbe.com合法享有版权或已获授权的内容。未经书面许可,任何单位或个人不得以转载、复制、传播等方式使用。
经授权使用者,请严格在授权范围内使用,并在显著位置标注来源,未经允许不得修改内容。违规者将依据《著作权法》追究法律责任,本站保留进一步追偿权利。谢谢支持与配合!