EVA胶膜作为太阳能电池的封装材料,黄变是该胶膜最大的缺点,EVA胶膜因为受到光、热、氧的作用而变黄、透过率下降继而造成太阳电池效率降低是目前太阳电池加工行业急需解决的问题。很多研究机构在EVA的老化与防老化方面进行了大量的大气老化和加速老化实验,并对EVA变黄的机理进行了研究。
2.0黄变原因
太阳电池用EVA胶膜的变色受物理和化学因素的影响。
化学方面包括:(1)EVA配方;(2)由交联剂在交联过程中产生的对紫外线有引发作用的基团,(3)紫外吸收剂的损失;(4)交联剂和交联条件;(5)在层压过程中扩散入EVA片中氧气所引发的光降解反应。
物理方面包括:(1)紫外线灯的强度;(2)玻璃上盖板对紫外线的过滤作用;(3)聚合物上盖板的气密性;(4)EVA胶膜的厚度;(5)层压过程(可能是物理的可能是化学的);(6)组件制作或使用过程中,整体或局部温度过高。
根据这些影响因素,一些研究机构提出了选择合适的稳定剂,抗氧剂,交联剂的标准:(1)能够减少由交联产生的UV引发基团的产生;(2)在潮湿条件下,不容易水解;(3)能更有效的猝灭在光氧反应中产生的能引发降解反应的自由基;(4)更长的作用时间;(5)快速交联且不产生气泡。
3.0黄变机理
从机理上来说EVA胶膜变黄的原因主要源于以下几个方面:
一:EVA自身的光热降解、氧化
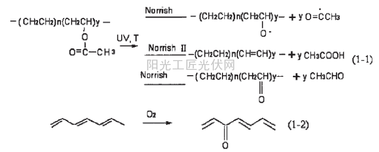
EVA封装胶膜在室外会因受到热氧的作用而降解。Norman S.Allen等对热氧老化进行了研究。研究发现,EVA的降解主要包括两步:一是醋酸的减少;二是氧化和主链的断裂。降解速度在氧气中要比氮气中快。
但加速老化实验表明,紫外光对EVA老化而变黄的影响是最大的。在研究中发现,纯EVA胶膜中包含短α-β不饱和羰基和可以起到光敏剂作用的杂质。在120℃以下的层压过程EVA结构发生微小的变化,但在140℃一150℃之间,EVA结构会发生很大的变化,产生了新的紫外光生色团。具体机理为在交联过程中在原来的α-β不饱和羰基处产生了新的Uv引发基团,即多烯烃。这些多烯烃由一些长短不一的共扼(C=C)组成。这种结构上的变化使发射峰产生红移。而这些共扼的C=C会吸收紫外光和可见光,造成EVA胶膜的变色。
EVA颜色的改变降低了可见光的透过率。通过结构分析,认为EVA变黄的原因是C=C共扼体系的形成和延长。荧光光谱分析表明,在光热降解过程中,发射光谱红移且强度减弱,在415cm-1附近的最初产生的发射峰(对应于固化产生的生色基团)逐渐消失,表明紫外吸收剂在EVA光热降解过程中因为发生了光化学降解而猝灭。(化学原因第2条)

注:反应最终产生生色基团共扼碳碳双键-(C=C)y-和0c—B-不饱和羰基一(C=C)y-C=O。当y=l-5时,胶膜无色;当y>3—6时,胶膜呈浅黄色,当y>6-13时,胶膜呈棕黄色。在这些反应中,有醋酸或乙醛等放出,且醋酸会促进EVA变黄。
二:残余的交联剂与抗老化剂之间的反应
研究表明,多余的交联剂在光作用下降解产生活泼的自由基,可与紫外线吸收剂UV 531和抗老化剂Naugard P作用,产生生色基团。例如,自由基与UV 53l的反应生成相应的生色基团醌。国内研究人员对紫外老化前后的EVA胶膜红外光谱的分析结果与这一观点一致,EVA胶膜紫外老化前后红外光谱盐线变化不大,未见明显的羰基C=0生成,醋酸酯基团含量未见减少,表明EVA胶膜变黄的原因并不是聚醋酸乙烯降解,很有可能是过氧化物交联剂分解后与防老化剂反应生成生色团。由此可见,通过选择合适的交联剂和防老剂品种和用量,可进一步提高胶膜的耐老化性能。
4.0预防措施
1.慎重选择EVA厂家。
2.调整合适的层压工艺参数。
3.选择有优秀散热设计和密封性设计的接线盒。
4.一次未用完的EVA注意遮光恒温保存。
5.0发白与发黄
发黄的机理上述已经讨论,不再赘述。
有些组件层压之后,出现EVA发白现象,目前行业内还没有形成共识,其原因共有以下几种可能:
1.发白现象是否为EVA中添加剂析出。 2. EVA本身吸收水分? 3. EVA与玻璃粘结面渗水?
4. EVA本身配料、工艺的出现偏差,造成EVA成分混合不均匀。(作者微信公众账号:光伏经验网)
独家申明:凡注明“阳光工匠光伏网”来源的文字、图片、图表与音视频稿件等资料,版权均属阳光工匠光伏网所有。任何媒体、 网站或个人未经本网协议授权不得全部或者部分转载、链接、转帖 或以其他方式复制发布/发表。经本网许可后转载务必请注明 来自“阳光工匠光伏网”,违者本网将依法追究责任。

上一篇:【刘工总结】组件问题系列总结——常用的背板有几种?各自性能参数及适应性如何?
下一篇:【刘工总结】组件问题系列总结——接线盒选择及安装过程注意事项(1月13日发布)
索比光伏网 https://news.solarbe.com/201501/08/202132.html

