
论文概览
针对宽带隙钙钛矿太阳能电池中光诱导相分离、界面非辐射复合严重制约器件性能与稳定性的关键问题,宁波材料所刘畅团队于《AM》刊发题为“Phosphine Interlayer Chemical Hardness Engineering via Crystallization Regulation for Wide-Bandgap Perovskites and All-Perovskite Tandems”的研究工作,他们提出了一种基于磷基小分子的界面工程策略,系统性筛选了具有不同给电子取代基的P-R₃分子,发现三(2-吡啶)膦(TPP)在填充Me-4PACz自组装层缺陷、钝化未配位Pb²⁺、锚定[PbX₆]⁴⁻提供成核位点等方面表现最优。最终,TPP修饰的1.77 eV宽带隙钙钛矿单结电池实现了20.46%的PCE,全钙钛矿两端叠层电池效率达到29.71%(认证29.13%),并展现出优异的工作稳定性(850小时MPP跟踪后仍保持91.96%初始效率)。
亮点解析

分子结构图显示TPP具有三(2-吡啶基)磷中心结构,其吡啶环上的氮原子提供配位能力;电荷转移序列示意图表明TPP的中央P原子与吡啶取代基之间存在显著电子云重叠,使TPP表现出最强的电荷转移能力;吸附能对比结果显示TPP与钙钛矿的吸附能最低(-2.355 eV),表明其与Pb²⁺的配位能力最强;FTIR光谱中TPP与PbBr₂混合后P-C键伸缩振动峰从988 cm⁻¹移至1003 cm⁻¹,吡啶环C-H面内弯曲振动峰从1450 cm⁻¹蓝移至1455 cm⁻¹,证实了TPP通过P→Pb配位和N…H-X氢键与钙钛矿相互作用;XPS谱图显示TPP改性后Pb 4f结合能发生明显蓝移,进一步证明了TPP与Pb²⁺形成了稳定的配位键,有效钝化了界面缺陷。

原位PL光谱显示对照组钙钛矿在旋涂过程中出现660 nm(富Br相)、680 nm(Br/I混合相)和730 nm(富I相)三个特征峰,表明存在明显的相分离,而TPP改性薄膜仅显示690 nm处的单一峰,证明TPP通过锚定[PbX₆]⁴⁻提供了成核位点,平衡了Br/I结晶速率,实现了均匀成核;SEM图像显示TPP处理后钙钛矿底部晶粒尺寸增大,孔洞和缺陷显著减少,改善了界面接触;GIWAXS不同入射角下的(100)晶面信号峰的对比证明TPP薄膜在不同深度均保持均匀的衍射角,而对照组在较大入射角(底部)出现较小2θ角,表明底部存在PbI₂团簇或缺陷引起的晶格畸变;GIXRD分析显示TPP改性后薄膜内拉伸应力被显著释放。

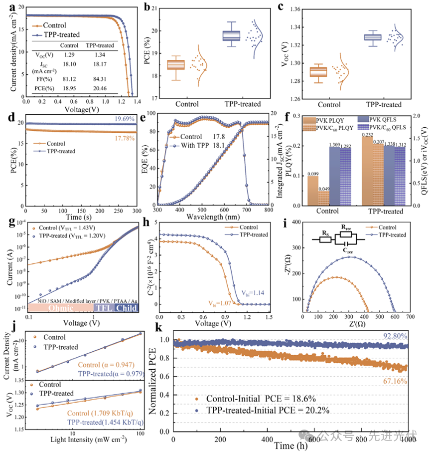
KPFM图像显示TPP处理显著提高了接触电位差(CPD)及其均匀性,表明界面缺陷钝化和偶极层形成优化了能级对齐;Arrhenius曲线说明离子迁移激活能增高,抑制了外场下的离子迁移;PL光谱和mapping图像证明TPP有效减缓了光照下的谱峰红移,抑制了卤素相分离和非辐射复合。

单结电池器件的J-V曲线显示TPP改性器件冠军效率达20.46%(VOC= 1.34 V,JSC= 18.17 mA cm⁻²,FF= 84.31%),较对照组(18.95%)全面提升;基于20个器件的PCE和VOC统计箱线图显示TPP改性的重现性优异;SPO测试中TPP器件稳态效率达19.69%,远高于对照组17.78%。MPP跟踪显示TPP器件在1000小时连续光照后仍保持92.80%初始效率,显著优于对照组。
TPP处理的两端全钙钛矿叠层电池冠军效率达29.71%(认证29.13%),VOC= 2.16 V,JSC= 16.44 mA cm⁻²,FF= 83.81%;SPO测试中TPP叠层电池稳态效率达28.60%;MPP跟踪显示TPP叠层电池在850小时后仍保持91.96%初始效率。
结论展望
本研究通过引入磷基小分子TPP调控Me-4PACz/钙钛矿界面,实现了缺陷钝化、结晶调控与离子迁移抑制的协同优化,不仅在宽带隙钙钛矿电池中取得20.46%的高效率,更推动全钙钛矿叠层电池效率突破29.71%,并具备出色的长期稳定性。该工作为钙钛矿界面工程提供了新的分子设计思路与工艺路径,对未来高性能、高稳定性钙钛矿光电器件的开发具有重要指导意义。
原文链接:
https://advanced.onlinelibrary.wiley.com/doi/10.1002/adma.202515163
声明:仅用于学术分享,如有侵权,请联系删除。
索比光伏网 https://news.solarbe.com/202510/14/50010115.html

