












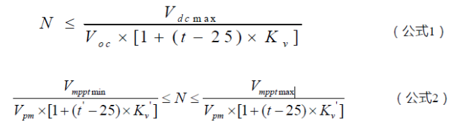
Vdcmax为逆变器输入最大直流电压Vmpptmin为逆变器最小工作电压Vmpptmax为逆变器最大工作电压其要求考虑温度系数的组串开路电压小于逆变器最大输入电压;考虑温度系数的组串MPPT电压要在逆变器MPPT跟踪范围之内。

由“公式1”、“公式2”得出:组件串联的个数应在10-23块之间。
即:PV1中的a=b=c,PV2中的d=e=f。
设计思考:


| 固德威常见机型 | MPPT路数 |
| 单相单路NS(1-3kW) | 1 |
| 单相双路D-NS(3-5kW) | 2 |
| 三相双路SDT&DT(5-10kW) | 2 |
| 三相四路MT(50-75kW) | 4 |


图2是两个朝向的260Wp的组件,其中一个朝向是6块,一个朝向是7块,就要选用单相双路GW3000D-NS逆变器。


| 电网电压 | 逆变器可选 |
| 220V单相电 | NS&D-NS、 |
| 380V三相电 | NS&D-NS、SDT&DT、 MT(50kW、60kW) |
| 6/10KV高压 | 一般用三相机型DT&MT,通过变压器升压到6/10KV |
因而,小固建议,系统安装,必须尽量避免阴影遮挡!

储能机可匹配任意铅酸电池或者部分锂电池,单台适合存电在5kwh~25kwh左右。
索比光伏网 https://news.solarbe.com/201704/27/141953.html

